-
The figure below shows a circle of radius 8cm centre O. B is a point on the circumference such that 0
(a) Find the size of
(i)...
(Solved)
The figure below shows a circle of radius 8cm centre O. B is a point on the circumference such that 0

(a) Find the size of
(i) (ii)(b) Calculate the length of OF
(c) Find the area of the major segment EDC.
Date posted:
November 18, 2019
.
Answers (1)
-
Given that log 5=0.6990 and log 7=0.8451, find log 24.5
(Solved)
Given that log 5=0.6990 and log 7=0.8451, find log 24.5
Date posted:
November 18, 2019
.
Answers (1)
-
Njoki earns a basic salary of sh 11,800 per month. She is also paid commissions as follow:
...
(Solved)
Njoki earns a basic salary of sh 11,800 per month. She is also paid commissions as follow:
Commissions
For sales up to sh100,000 0%
For sales above sh.100,000
(i) For the first sh50,000 2.5%
(ii) For the next sh50,000 3.5%
For amount above sh200,000 5%
In a certain month, she sold goods worth sh.328,000. Find her total earnings that month.
Date posted:
November 18, 2019
.
Answers (1)
-
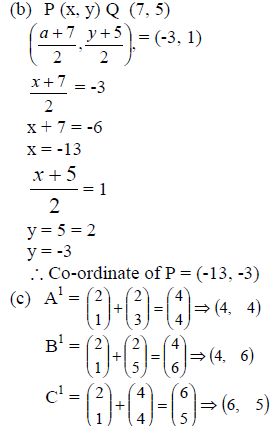
The position vectors of P,Q and R are
Show that P, Q and R are collinear.
(Solved)
The position vectors of P,Q and R are 
Show that P, Q and R are collinear.
Date posted:
November 18, 2019
.
Answers (1)
-
The diagram below show a circle centre O and the radius OA=5cm. Line AB is a tangent of the circle at A and its length...
(Solved)
The diagram below show a circle centre O and the radius OA=5cm. Line AB is a tangent of the circle at A and its length is 12cm. Find the area of the shaded region.

Date posted:
November 18, 2019
.
Answers (1)
-
Given that Sin(x +200) = -0.6776 find x, for 00 = x = 3600
(Solved)
Given that Sin(x +200) = −0.6776 find x, for 00 ≤ x ≤ 3600
Date posted:
November 18, 2019
.
Answers (1)
-
Solve the following simultaneous equations
x + y = 3
6y -xy = 70
(Solved)
Solve the following simultaneous equations
x + y = 3
6y −xy = 70
Date posted:
November 18, 2019
.
Answers (1)
-
Use the table of reciprocals and squares to find
(Solved)
Use the table of reciprocals and squares to find

Date posted:
November 18, 2019
.
Answers (1)
-
Determine the inequalities that define the unshaded region in the diagram below.
(Solved)
Determine the inequalities that define the unshaded region in the diagram below.

Date posted:
November 18, 2019
.
Answers (1)
-
The area of a rhombus is 49cm2 and each side is 10cm long. Calculate the acute angle of the rhombus.
(give your answer to 1 d.p)
(Solved)
The area of a rhombus is 49cm2 and each side is 10cm long. Calculate the acute angle of the rhombus.
(give your answer to 1 d.p)
Date posted:
November 18, 2019
.
Answers (1)
-
The mean of the numbers m, 8m + 1, 17 and 20 is 14. Calculate the value of m.
(Solved)
The mean of the numbers m, 8m + 1, 17 and 20 is 14. Calculate the value of m.
Date posted:
November 18, 2019
.
Answers (1)
-
Given that 35x -2y=243 and 32x-y=3, calculate the values of x and y.
(Solved)
Given that 35x −2y=243 and 32x−y=3, calculate the values of x and y.
Date posted:
November 18, 2019
.
Answers (1)
-
Three automatic electric bells A B and C ring at intervals of 20 minutes, 30 minutes and 50 minutes respectively. If the bells ring together...
(Solved)
Three automatic electric bells A B and C ring at intervals of 20 minutes, 30 minutes and 50 minutes respectively. If the bells ring together at 8.20 am, at what time will they ring simultaneously again for the first time .
Date posted:
November 18, 2019
.
Answers (1)
-
Simplify
(Solved)
Simplify 
Date posted:
November 18, 2019
.
Answers (1)
-
Use logarithm table to evaluate
(Solved)
Use logarithm table to evaluate

Date posted:
November 18, 2019
.
Answers (1)
-
The table below shows the marks scored by forty form 4 students in a mathematics class
a) Using an assumed mean score of 55, calculate the...
(Solved)
The table below shows the marks scored by forty form 4 students in a mathematics class

a) Using an assumed mean score of 55, calculate the mean of the data
b) Calculate the lower quartile
c) On the grid provided, draw the cumulative frequency curve to represent the above distribution
d) From the graph estimate
i) The 5th decile
ii) Range of marks of the middle 80% of the students
Date posted:
November 15, 2019
.
Answers (1)
-
Mungai, Koskei and Kandie are participating in an athletics competition. The probability that Mungai, Koskei and Kandie complete the race are 3/5, 1/6 and 4/7...
(Solved)
Mungai, Koskei and Kandie are participating in an athletics competition. The probability that Mungai, Koskei and Kandie complete the race are 3/5, 1/6 and 4/7 respectively. Find the probability that in a competition:
i) Only one of them completes the race
ii) All the three complete the race
iii) None of them completes the race
iv) Two of them complete the race
v) At least one completes the race
Date posted:
November 15, 2019
.
Answers (1)
-
The figure below is a cuboid in which PQ = 8cm, QR =12cm and CR = 4cm. M and N are midpoints of QR and...
(Solved)
The figure below is a cuboid in which PQ = 8cm, QR =12cm and CR = 4cm. M and N are midpoints of QR and AD respectively

a) Find the length of
i) SM
ii) CM
b) Calculate the angle the line:
i) DM makes with the plane PQRS
ii) DM makes with the plane BQRC
iii) Angle ABM
Date posted:
November 15, 2019
.
Answers (1)
-
The income tax rates in a certain year are as shown below.
Omar pays sh. 4000 as PAYE per month. He has a monthly house allowance...
(Solved)
The income tax rates in a certain year are as shown below.

Omar pays sh. 4000 as PAYE per month. He has a monthly house allowance of Ksh. 10800 and is entitled to a personal relief of Ksh. 1200 per month. Determine
i) His gross tax per annum in Ksh.
ii) His taxable income in K£ per annum
iii) His basic salary in Ksh. Per month
iv) His net salary per month
Date posted:
November 15, 2019
.
Answers (1)
-
Triangle A1B1C1 is the image of triangle ABC under a transformation matrix T = If the area of triangle A1B1C1 is 25.6cm2, find the...
(Solved)
Triangle A1B1C1 is the image of triangle ABC under a transformation matrix T =
If the area of triangle A1B1C1 is 25.6cm2, find the area of the object triangle ABC.
Date posted:
November 15, 2019
.
Answers (1)