Trusted since 2008
Chat on WhatsApp

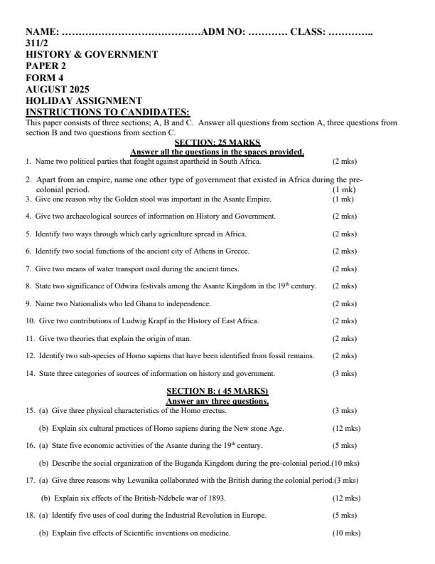
Form 4 History and Government August 2025 Holiday Assignment

KES 50
Secure M-PESA Paybill • Instant digital delivery
414 Views
1 Purchases

Summary

Get ready for the Form 4 History and Government August 2025 holiday assignment. Access insightful resources to ace your history and government skills during the break. Perfect for students seeking academic excellence.

You’re viewing a preview. Buy now to unlock the full document and download instantly after M-PESA payment.

  • Page 1 – Form 4 History and Government August 2025 Holiday Assignment – Kenyaplex
........

This is the end of this document preview. Buy to download the complete document.

Recommended Resources

More Resources


  • Form 4 Holiday Assignment 2022

    HOLIDAY ASSIGNMENTS 2022 The document contains standard questions of the following subjects: 1. Mathematics pp1 and pp2 2. Computer studies pp1 and pp2 3. English pp1,pp2 and pp3 4. Geography...

    Price: KES :  100

  • Form 4 Mathematics April 2024 Holiday Assignment

    Get your Form 4 Mathematics April 2024 Holiday Assignment instantly via WhatsApp, email, or direct download upon purchase. Perfect for students seeking extra practice and challenges.

    Price: KES :  30

  • Form 4 Kiswahili April 2024 Holiday Assignment

    Access the Form 4 Kiswahili April 2024 Holiday Assignment instantly upon purchase. Receive it via WhatsApp, email, or direct download. Perfect for students requiring additional practice during the...

    Price: KES :  30

  • Form 4 History April 2024 Holiday Assignment

    Get your Form 4 History April 2024 Holiday Assignment instantly! Purchase now for immediate delivery via WhatsApp, email, or direct download. Perfect for students looking to excel in their history...

    Price: KES :  30

  • Form 4 Geography April 2024 Holiday Assignment

    Get your Form 4 Geography April 2024 Holiday Assignment instantly! Purchase now for immediate delivery via WhatsApp, email, or direct download. Perfect for students looking to enhance their geography...

    Price: KES :  30

  • Form 4 English April 2024 Holiday Assignment

    Get your Form 4 English April 2024 Holiday Assignment instantly delivered via WhatsApp, email, or direct download upon purchase. Ideal for teachers seeking valuable teaching resources and students...

    Price: KES :  30

  • Form 4 CRE April 2024 Holiday Assignment

    Get your Form 4 CRE April 2024 Holiday Assignment now! Instant delivery via WhatsApp, email, or download. Perfect for students to excel in their studies.

    Price: KES :  30

  • Form 4 Computer Studies April 2024 Holiday Assignment

    Get ready for the Form 4 Computer Studies April 2024 Holiday Assignment. Instant delivery via WhatsApp, email, or direct download. Perfect for students looking to excel in their studies.

    Price: KES :  30

  • Form 4 Chemistry April 2024 Holiday Assignments

    Get your Form 4 Chemistry April 2024 Holiday Assignments instantly upon purchase! Receive via WhatsApp, email, or direct download. Perfect for students revising during the break.

    Price: KES :  30

  • Form 4 Business Studies April 2024 Holiday Assignment

    Improve your business studies with Form 4 assignments for April 2024 holiday. Instant delivery via WhatsApp, email, or direct download upon purchase. Perfect for students looking to excel.

    Price: KES :  30

  • Form 4 Biology April 2024 Holiday Assignment

    Get the Form 4 Biology April 2024 Holiday Assignment instantly upon purchase! Receive it via WhatsApp, email, or direct download. Perfect for students looking for a resource to enhance their biology...

    Price: KES :  30

  • Form 4 Agriculture April 2024 Holiday Assignment

    Get your Form 4 Agriculture April 2024 Holiday Assignment instantly upon purchase! Receive it via WhatsApp, email, or direct download. Perfect for students looking for comprehensive study material.

    Price: KES :  30

  • Form 4 Agriculture August Holiday Assignment 2024

    Get the Form 4 Agriculture August Holiday Assignment 2024. Perfect for students looking to excel in their studies over the break.

    Price: KES :  30

  • Form 4 Biology August 2024 Holiday Assignment

    Get ready for the Form 4 Biology August Holiday Assignment 2024. Prepare for your Biology assignment this August with our comprehensive resources. Suitable for students studying Biology.

    Price: KES :  30

  • Form 4 Business Studies August 2024 Holiday Assignment

    Enhance your Business Studies skills with the Form 4 August Holiday Assignment 2024. Access engaging content designed for students to excel in their studies during the break.

    Price: KES :  30

  • Form 4 Chemistry August 2024 Holiday Assignment

    Download Form 4 Chemistry August Holiday Assignment 2024. Boost your chemistry skills this holiday season with our assignments designed for students. Master key concepts and excel in your studies.

    Price: KES :  30

  • Form 4 CRE August 2024 Holiday Assignment

    Get ready for your Form 4 CRE August Holiday Assignment 2024. Access engaging content designed for students to excel in their studies. Elevate your learning experience with our high quality content.

    Price: KES :  30

  • Form 4 English August 2024 Holiday Assignment

    Find the Form 4 English August Holiday Assignment 2024 here. Engaging English tasks for students to enhance skills and boost academic performance during the break.

    Price: KES :  30

  • Form 4 Geography August 2024 Holiday Assignment

    Prepare for your Form 4 Geography August 2024 Holiday Assignment with our comprehensive resources. Get ready for a productive break! GEOGRAPHY FORM FOUR AUGUST 2024 HOLIDAY ASSIGNMENT 1. a) State...

    Price: KES :  30

  • Form 4 History and Government August 2024 Holiday Assignment

    Enhance your knowledge with the Form 4 History and Government August Holiday Assignment 2024. Engage in insightful tasks to deepen your understanding during the break. Ideal for students seeking to...

    Price: KES :  30

  • Form 4 Kiswahili August 2024 Holiday Assignment

    Find the Form 4 Kiswahili August Holiday Assignment 2024 here. Access the assignment to enhance your studies during the holiday break.

    Price: KES :  30

  • Form 4 Mathematics Paper 2 August 2024 Holiday Assignment

    Get ahead with the Form 4 Mathematics August Holiday Assignment 2024. Engaging tasks to boost your math skills during the holiday break.

    Price: KES :  30

  • Form 4 Physics August 2024 Holiday Assignment

    Access Form 4 Physics August Holiday Assignment 2024. Level up your Physics skills during the break with this comprehensive assignment designed for students.

    Price: KES :  30

  • Form 4 Agriculture April 2025 Holiday Assignment

    Looking for the Form 4 Agriculture April 2025 Holiday Assignment? Find all you need for this academic task here. Get a head start on your studies with our comprehensive resources.

    Price: KES :  30

  • Form 4 Biology April 2025 Holiday Assignment

    Prepare for your Form 4 Biology April 2025 holiday assignment with our comprehensive resources. Ideal for students seeking to excel in Biology.

    Price: KES :  30

  • Form 4 Business Studies April 2025 Holiday Assignment

    Prepare for your Form 4 Business Studies April 2025 Holiday Assignment with this comprehensive guide. Get ahead in your studies and excel in Business Studies this holiday season.

    Price: KES :  30

  • Form 4 Chemistry April 2025 Holiday Assignment

    Prepare for your Form 4 Chemistry April 2025 Holiday Assignment with engaging and informative content tailored for students. Get a head start on your studies and succeed in Chemistry this holiday...

    Price: KES :  30

  • Form 4 Computer Studies April 2025 Holiday Assignment

    Prepare for your Form 4 Computer Studies April 2025 holiday assignment with this comprehensive guide. Boost your understanding and excel in your studies.

    Price: KES :  30

  • Form 4 CRE April 2025 Holiday Assignment

    Get a head start on your Form 4 CRE studies with the April 2025 holiday assignment. Perfect for students looking to stay ahead during the break.

    Price: KES :  30

  • Form 4 English April 2025 Holiday Assignment

    Looking for Form 4 English April 2025 Holiday Assignment? Get ready for engaging English activities perfect for students during the holiday break. Elevate your English skills and have fun with our...

    Price: KES :  30

More Content By kpl2024


  • Form 4 Kiswahili August 2025 Holiday Assignment

    Explore the Form 4 Kiswahili August 2025 Holiday Assignment, a valuable resource for students. Access engaging content to enhance your Kiswahili skills during the holiday break.

    Price: KES :  50

  • Form 4 Mathematics August 2025 Holiday Assignment

    Unlock your mathematical potential with the Form 4 Mathematics August 2025 Holiday Assignment. Sharpen your skills and excel in mathematics this holiday season. Ideal for students looking to boost...

    Price: KES :  50

  • Form 4 Physics August 2025 Holiday Assignment

    Find Form 4 Physics August 2025 Holiday Assignment for students. Get ready for your physics assignment during the holiday break.

    Price: KES :  50

  • Form 2 Biology November/December 2025 Holiday Assignment

    Prepare for your Form 2 Biology November/December 2025 Holiday Assignment with us. Get ready for a fun and educational experience to enhance your Biology skills during the holidays. Ideal for students...

    Price: KES :  50

  • Form 2 Agriculture November/December 2025 Holiday Assignment

    Get ready for the Form 2 Agriculture November/December 2025 Holiday Assignment, designed to engage students in practical agricultural activities. Perfect for students seeking hands-on learning...

    Price: KES :  50

  • Form 2 Business Studies November/December 2025 Holiday Assignment

    Get ready for the Form 2 Business Studies November/December 2025 Holiday Assignment. Tailored for students, this task is designed to enhance your skills and knowledge in the subject.

    Price: KES :  50

  • Form 2 Chemistry November/December 2025 Holiday Assignment

    Get ready for the Form 2 Chemistry Holiday Assignment for November/December 2025. Improve your Chemistry skills with this engaging assignment designed for students.

    Price: KES :  50

  • Form 2 Computer Studies November/December 2025 Holiday Assignment

    Get ready for the Form 2 Computer Studies November/December 2025 Holiday Assignment. Access engaging tasks to enhance your skills in computer studies during the school break. Ideal for students...

    Price: KES :  50

  • Form 2 CRE November/December 2025 Holiday Assignment

    Form 2 CRE November/December 2025 Holiday Assignment provides engaging tasks for students to enhance their understanding of CRE topics. Ideal for holiday revision and practice.

    Price: KES :  50

  • Form 2 English November/December 2025 Holiday Assignment

    Gain access to the Form 2 English November/December 2025 Holiday Assignment with valuable content for students. Elevate your learning experience this holiday season.

    Price: KES :  50

  • Form 2 Geography November/December 2025 Holiday Assignment

    Get ready for the Form 2 Geography November/December 2025 holiday assignment! Engage students with interactive and educational tasks to boost their geographical knowledge and skills.

    Price: KES :  50

  • Form 2 History and Government November/December 2025 Holiday Assignment

    Prepare for your Form 2 History and Government Holiday Assignment in November/December 2025 with this comprehensive guide. Get a head start on your studies and excel in your upcoming assessment.

    Price: KES :  50

  • Form 2 Physics November/December 2025 Holiday Assignment

    Get ready for the Form 2 Physics November/December 2025 holiday assignment! Engage with interactive tasks designed to enhance your understanding of physics concepts. Ideal for students seeking to...

    Price: KES :  50

  • Form 2 Kiswahili November/December 2025 Holiday Assignment

    Get ahead on your Form 2 Kiswahili studies with the November/December 2025 Holiday Assignment. Prepare for success this holiday season with targeted practice and reinforcement. Perfect for Form 2...

    Price: KES :  50

  • Form 2 Mathematics November/December 2025 Holiday Assignment

    Get ready for the Form 2 Mathematics November/December 2025 Holiday Assignment. Enhance your math skills with this engaging task designed for students during the holiday break.

    Price: KES :  50

  • Playgroup November/December 2025 Holiday Assignments - Set

    Enhance your child's learning with our engaging November/December 2025 holiday assignments for playgroup students. Set yourself up for educational success this holiday season.

    Price: KES :  200

  • PP1 November/December 2025 Holiday Assignments - Set

    Browse through PP1 November/December 2025 Holiday Assignments - Set for engaging activities to keep students challenged during the break. Ideal for students seeking educational enrichment over the...

    Price: KES :  200

  • PP2 November/December 2025 Holiday Assignments - Set

    PP2 November/December 2025 Holiday Assignments Set for students. Access engaging tasks for the upcoming break. Ideal for the festive season learning.

    Price: KES :  200

  • Grade 1 November/December 2025 Holiday Assignments - Set

    Get ready for the Grade 1 November/December 2025 holiday assignments. Engaging tasks to keep students busy during the break. Perfect for parents/teachers looking for educational activities.

    Price: KES :  200

  • Grade 2 November/December 2025 Holiday Assignments - Set

    Get ahead with Grade 2 November/December 2025 Holiday Assignments. Engaging tasks for students to enhance learning during the break. Accelerate progress and stay active during the holiday season.

    Price: KES :  200

View all resources  

What Our Users Say