Trusted since 2008
Chat on WhatsApp

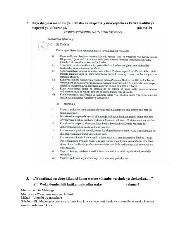
Maswali na Majibu Katika Tumbo Lisiloshiba na Hadithi Nyingine

14592 Views
74 Purchases

Summary

Maswali na Majibu Katika Tumbo Lisiloshiba na Hadithi Nyingine

1. Huku ukirejelea hadithi ya Tumbo Lisiloshiba na Shibe Inatumaliza, fafanua maudhui ya ukiukaji wa haki. (al.20)
TUMBO LISILOSHIBA.
(i) Viongozi kuweka vitego na vikwazo vya sheria ili watu wadogo wasiweze kutetea mali zao.
(ii) Kutowahusisha maskini katika maamuzi muhimu yanayoathiri maisha yao.
(iii)Kunyakua ardhi ya madongoporomoka ambapo watu maskini waliishi.
(iv) Kupanga njama za kuwapatia wanyonge visenti vichache ili waondoke madongoporomoka.
(v) Jitu la miraba mine kula chakula chote bila kubakishia wateja.
(vi) Wanamadongoporomoka kubomolewa vibanda vyao na mabuldoza.
(vii) Askari wa baraza kutimua watu waliokuwa wanabomolewa .
(viii) Jeshi la polisi kulinda askari wa baraza wakibomoa vibanda vya wanamadongoporomoka.
ix) Askari kuwapiga virungu watu.............................

Below is the document preview. Purchase to access the complete document.

  • Page 1 – Maswali na Majibu Katika Tumbo Lisiloshiba na Hadithi Nyingine – Kenyaplex
  • Page 2 – Maswali na Majibu Katika Tumbo Lisiloshiba na Hadithi Nyingine – Kenyaplex
  • Page 3 – Maswali na Majibu Katika Tumbo Lisiloshiba na Hadithi Nyingine – Kenyaplex
  • Page 4 – Maswali na Majibu Katika Tumbo Lisiloshiba na Hadithi Nyingine – Kenyaplex
........

This is the end of this document preview. Buy to download the complete document.

Recommended Resources

More Resources


  • Grade 7 Mwongozo wa Novela ya Mshale wa Matumaini

    Mwongozo wa kusoma novela Mshale wa Matumaini iliyoandikwa na Profesa John Habwe. Hati hii inachambua kwa kina ploti, wahusika, maudhui, mandhari, mbinu za lugha na muhtasari wa kila sura. Inajadili...

    Price: KES :  80

  • Bridges Without Rivers and Other Stories Guide

    A comprehensive literature study guide on Bridges Without Rivers and Other Stories, designed to help learners understand short story elements through detailed story-by-story analysis. The guide...

    Price: KES :  100

  • Muhtasari wa Novela Mshale wa Matumaini

    Hati hii inatoa muhtasari wa kina wa novela Mshale wa Matumaini kwa kufuatilia matukio ya kila sura kuanzia ya kwanza hadi ya kumi. Inamwangazia mhusika mkuu Zingo na safari yake ya maisha katika...

    Price: KES :  80

  • Ploti ya Novela Mshale wa Matumaini

    Hati hii inaeleza kwa kina ploti ya novela Mshale wa Matumaini iliyoandikwa na Profesa John Habwe. Inafuatilia safari ya Zingo na mamake Zahara kama wakimbizi, changamoto wanazokumbana nazo, ubaguzi,...

    Price: KES :  50

  • Mbinu za Lugha (Tashbihi, Nahau, Methali) - Mshale wa Matumaini

    Hati hii inachambua kwa kina mbinu za lugha zilizotumika katika novela Mshale wa Matumaini. Inafafanua matumizi ya tashbihi, nahau, methali na tashihisi (uhaishaji) kwa kutoa mifano halisi kutoka...

    Price: KES :  50

  • Sifa za Wahusika katika Mshale wa Matumaini

    Hati hii inachambua sifa za wahusika wakuu na wasaidizi katika novela Mshale wa Matumaini. Inamwangazia mhusika mkuu Zingo pamoja na wahusika wengine kama Kadurenge Mlawatu, Mzee Musambale na Bi...

    Price: KES :  50

  • Ufaafu wa Anwani ya Mshale wa Matumaini

    Hati hii inafafanua kwa kina ufaafu wa anwani ya novela Mshale wa Matumaini kwa kuonyesha maana mbalimbali inayojitokeza katika hadithi. Inaeleza jinsi anwani hiyo inavyowakilisha matumaini ya...

    Price: KES :  40

  • Maudhui Katika Uteuzi Wa Chale

    Hati hii inachambua kwa kina maudhui yanayojitokeza katika uteuzi wa Chale, ikiwemo ukuzaji wa vipawa, elimu, uwajibikaji, mabadiliko ya hali ya anga, uhifadhi wa mazingira, magonjwa na athari zake,...

    Price: KES :  80

  • Mbinu za Lugha katika Uteuzi wa Chale

    Hati hii inatoa uchambuzi wa kina wa mbinu za lugha zilizotumika katika Uteuzi wa Chale. Inafafanua matumizi ya mbinu mbalimbali za kifasihi kama lakabu, tashbihi, tashihisi (uhuishi), sitiara,...

    Price: KES :  80

  • Muhtasari wa Riwaya Uteuzi wa Chale

    Hati hii inawasilisha muhtasari wa kina wa riwaya Uteuzi wa Chale, ikifuatilia maisha ya Chale kuanzia kipaji chake cha utangazaji, changamoto za ugonjwa, safari ya hospitalini, hadi uamuzi wake wa...

    Price: KES :  40

  • Mwongozo wa Novela Uteuzi Wa Chale

    Huu ni mwongozo mzima wa novela Uteuzi wa Chale ulioandikwa na Asumpta K. Matei. Unatoa uchambuzi wa kina wa muhtasari wa riwaya, ufaafu wa anwani, maudhui, dhamira, wahusika, mbinu za lugha na ujumbe...

    Price: KES :  100

  • Wahusika na Sifa Zao katika Uteuzi wa Chale

    Hati hii inachambua kwa kina wahusika na sifa zao katika riwaya Uteuzi wa Chale. Inamwangazia mhusika mkuu Chale pamoja na Jibril, Bi Pili, Sudi, Dkt. Maarifa, wanajamii wa Kaloleni na kakake Chale,...

    Price: KES :  50

  • A guide on the Pearl by John Steinbeck

    A guide on the Pearl by John Steinbeck.

    Price: KES :  250

  • Guide To The Blossoms of the Savannah

    Blossoms of the Savannah Guide: Detailed and Comprehensive

    Price: KES :  150

  • Mwongozo wa Tumbo lisiloshiba na hadithi nyingine

    Dibaji Mwongozo huu ni matokeo ya jitihada za Maria Mvati, James Kanuri na Saul S. Bichwa. The NES wameona kuwa ni muhimu kutayarisha mwongozo huu ili kuwasaidia walimu na wanafunzi katika kuelewa...

    Price: KES :  200

  • Guide To The Memories We Lost and Other Stories

    This document contains a definitive guide to the new set book "Memories we lost and other stories". It is the best to have at the moment. Brief Overview: About the Author The author...

    Price: KES :  290

  • Blossoms of the Savannah Guide

    This study guide provides a detailed analysis of the novel Blossoms of the Savannah. The analysis is aimed at preparing KCSE candidates for both the excerpt and the compulsory essay question in paper...

    Price: KES :  200

  • KCSE Revision Oral Literature and Poetry

    KCSE Revision Oral Literature and Poetry. Detailed and comprehensive study guide. Brief Overview: What is poetry? It is not easy to say what exactly poetry is. But poetry explores the...

    Price: KES :  300

  • Combined Guide for Caucasian Chalk Circle and Betrayal in the City

    This is a combined analysis of Caucasian Chalk Circle and Betrayal in the City set texts. Brief Overview: The Caucasian Chalk Circle Summary The Caucasian Chalk Circle begins with a Prologue...

    Price: KES :  50

  • Geography Charts Diagrams

    Explore Geography Charts and Diagrams - a versatile resource providing visual aids to enhance geographical understanding, perfect for teachers and students alike.

    Price: KES :  0

  • Guidelines For English Paper 1

    This is a handout that gives learners and teachers tips on areas to prepare for before they sit for their English Paper 1 KCSE examinations. ENGLISH PAPER 101 CONTENT AND GUIDELINES By Zacch...

    Price: KES :  350

  • He's Far Too Much Guide Book

    This notes can be used by a tutor and student-teachers for reference purpose in the set book He's Far Too Much. Brief Overview: The play is written by Said Mohamed "AMEZIDI" but translated in...

    Price: KES :  180

  • Carribean Literature Notes

    This is about Caribbean literature: its early inhabitants and history of oppression with description of George Lammings book "In the castle of my skin" ..............

    Price: KES :  0

  • A Doll's House Guide - Notes

    This is a guide to the text "Doll's House".It has handled the form and structure of the text. Thus guiding both the teachers and students in preparation for the examination. ABOUT THE...

    Price: KES :  200

  • Research Methodology Notes

    This document contains the process and the format of writing a research project. UNIT OF ANALYSIS ? Unit of Analysis refers to the level of aggregation of the data collected during the subsequent...

    Price: KES :  500

  • KASNEB Accounting Technicians Diploma Syllabus July 2018

    KASNEB Accounting Technicians Diploma Syllabus July 2018. TABLE OF CONTENTS LEVEL I Page Paper No. 1 Introduction to Financial Accounting 1 Paper No. 2 Principles of Business Law 3 Paper No. 3...

    Price: KES :  50

  • Helping Children with Special Needs

    Introduction By the end of this article, you should be able to: a) Discuss bow to identify', rehabilitate and refer children with special needs. b) Explain how to counsel children with special...

    Price: KES :  100

  • An attachment/Internship study guide

    This attachment guide will be useful for students going for attachment/internship or taking an internship attachment. I will be useful and you prepare to start your attachment, during your...

    Price: KES :  100

  • Simplified Poetry Study Guide for Form 1 to Form 4

    Simplified poetry study guide book with exhaustively discussed poetry concepts supported with enough explanations, illustrations and exemplifications. for K.C.S.E, P.T.E and students taking...

    Price: KES :  200

  • Arrow of God Short Notes

    This document has analysed the characters and has summarized the plot of the novel arrow of God.it can be used by student teacher's during revisions. Arrow of God Summary The novel is set in the...

    Price: KES :  200

More Content By Edwinnyongesa8


  • Form 3 Chemistry up-to-date notes

    Chemistry up-to-date notes. Brief Overview: Unit checklist. 1. Introduction 2. Preparation of nitrogen - Isolation from air - Isolation from liquid air - Laboratory...

    Price: KES :  75

  • CRE Topical Questions and Answers Form 1, Form 2, Form 3 and Form 4

    CRE Topical Questions and Answers Form 1 to Form 4 Best topic by topic KCSE Revision CRE 2019. For A students FORM ONE WORK CHAPTER ONE INTRODUCTION TO CHRISTIAN RELIGIOUS EDUCATION PAPER...

    Price: KES :  100

  • CRE Form 3 Notes V2

    All point by point simplified notes. Brief Overview: CHRISTIAN RELIGIOUS EDUCATION FORM THREE THE GIFTS OF THE HOLY SPIRIT The teaching of Jesus on the role of the Holy Spirit John...

    Price: KES :  100

  • KCSE History Paper 2 Topical Questions and Answers

    This document contains topic by topic paper 2 history questions and answers. Good for revision. KCSE HISTORY PAPER 2 REVISION KIT T0PIC 1 INTRODUCTION TO HISTORY & GOVERNMENT Sources of...

    Price: KES :  75

  • KCSE History Paper 1 Topical Revision Questions and Answers

    KCSE History Paper 1 Topical Revision Questions and Answers. The questions are arranged topic by topic. Good for revision. KCSE HISTORY PAPER 1 REVISION KIT Pre-History This refers to the study...

    Price: KES :  75

  • CRE Topical Questions and Answers for Form 1 to Form 4

    TOPICS COVERED 1. Introduction to C.R.E 1 2. The Bible 1 3. Creation and the fall of man 4 4. Faith and God’s promises: Abraham 5 5. Moses and the Sinai covenant 5 6. Leadership in Israel: David...

    Price: KES :  100

  • CRE Revision Notes Form 1 2023

    Point by point CRE form 1 notes. Meaning of Christian Religious Education Christian The word comes from Greek word “Christos” which means someone who has been chosen to follow Christ. Therefore,...

    Price: KES :  75

  • Mwongozo Wa Bembea Ya Maisha

    MWONGOZO WA BEMBEA YA MAISHA UTANGULIZI VIGEZO MUHIMU KATIKA UCHAMBUZI WA TAMTHILIA HII 1) Dhamira/ Lengo/ Mintarafu/ Kusudi: Nijambo linalokusudiwa na mwandishi/ lengo kuu la...

    Price: KES :  100

  • CRE Form 2 Revised Topical Questions And Answers 2023

    CRE Form 2 Revised Topical Questions And Answers 2023

    Price: KES :  100

  • CRE Form 1 Revision Topical Questions and Answers 2023

    Give ten reasons for studying Christian Religious Education • By studying CRE, a learner gets to know God’s power, character and how God reveals himself to humankind. • CRE helps learners to know...

    Price: KES :  100

  • Chemistry Simplified Notes Form 1 2023

    SIMPLIFIED CHEMESTRY FORM I NOTES 2023 1.0.0 INTRODUCTION TO CHEMISTRY (12 LESSONS) 1.1.0 Specific Objectives 1.2.1 Review the following topics - properties of matter - states of matter...

    Price: KES :  75

  • Chemistry All Formulas Book For Revision

    All Formulas in chemistry available for easy revision

    Price: KES :  75

  • Topically Arranged CRE Revision Paper 1 and 2 Questions and Answers

    -Topical questions with answers -Paper one and two CRE done separately in one document

    Price: KES :  75

View all resources  

What Our Users Say