-
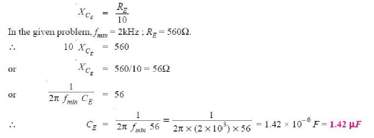
What is the role of emitter bypass capacitor CE in CE amplifier circuit shown in Fig. 5.3 ? Illustrate with a numerical example.
(Solved)
What is the role of emitter bypass capacitor CE in CE amplifier circuit shown in Fig. 5.3 ? Illustrate with a numerical example.

Date posted:
August 15, 2019
.
Answers (1)
-
Show and explain a Practical Circuit of Transistor Amplifier
(Solved)
Show and explain a Practical Circuit of Transistor Amplifier
Date posted:
August 15, 2019
.
Answers (1)
-
A change of 200 mV in base-emitter voltage causes a change of 100 µA in the base current. Find the input resistance of the transistor.
(Solved)
A change of 200 mV in base-emitter voltage causes a change of 100 μA in the base current. Find the input resistance of the transistor.
Date posted:
August 15, 2019
.
Answers (1)
-
What does the performance of a transistor amplifier depend upon?
(Solved)
What does the performance of a transistor amplifier depend upon?
Date posted:
August 15, 2019
.
Answers (1)
-
Determine the Q point of the transistor circuit shown in Fig. 4.40. Also draw the d.c. load line. Given ß = 200 and VBE =...
(Solved)
Determine the Q point of the transistor circuit shown in Fig. 4.40. Also draw the d.c. load line. Given β = 200 and VBE = 0.7V.

Date posted:
August 15, 2019
.
Answers (1)
-
In the circuit diagram shown in Fig. 4.39 (i), if VCC = 12V and RC = 6 kilo-ohms, draw the d.c. load line.
(Solved)
In the circuit diagram shown in Fig. 4.39 (i), if VCC = 12V and RC = 6 kilo-ohms, draw the d.c. load line. What will be the Q point if zero signal base current is 20μA and β = 50?
Date posted:
August 15, 2019
.
Answers (1)
-
For the circuit shown in Fig. 4.38 (i), draw the d.c. load line.
(Solved)
For the circuit shown in Fig. 4.38 (i), draw the d.c. load line.

Date posted:
August 15, 2019
.
Answers (1)
-
Explain Transistor Load Line Analysis
(Solved)
Explain Transistor Load Line Analysis
Date posted:
August 15, 2019
.
Answers (1)
-
Show the Comparison of Transistor Connections
(Solved)
Show the Comparison of Transistor Connections
Date posted:
August 15, 2019
.
Answers (1)
-
Fig. 4.28 shows the short circuit failures in a transistor. What will be the circuit behaviour in each case ?
(Solved)
Fig. 4.28 shows the short circuit failures in a transistor. What will be the circuit behaviour in each case ?

Date posted:
August 14, 2019
.
Answers (1)
-
Fig. 4.27 shows the open circuit failures in a transistor. What will be the circuit behaviour in each case ?
(Solved)
Fig. 4.27 shows the open circuit failures in a transistor. What will be the circuit behaviour in each case ?

Date posted:
August 14, 2019
.
Answers (1)
-
A transistor has the following ratings: IC (max) = 500 mA and ßmax = 300.
(Solved)
A transistor has the following ratings: IC (max) = 500 mA and ßmax = 300. Determine the maximum allowable value of IB for the device.
Date posted:
August 14, 2019
.
Answers (1)
-
In a transistor, IB = 68 µA, IE = 30 mA and ß = 440.
(Solved)
In a transistor, IB = 68 µA, IE = 30 mA and ß = 440. Determine the a rating of the
transistor. Then determine the value of IC using both the a rating and ß rating of the transistor.
Date posted:
August 14, 2019
.
Answers (1)
-
A transistor is connected in common emitter (CE) configuration in which collector supply is 8V and the voltage drop across resistance RC connected in the...
(Solved)
A transistor is connected in common emitter (CE) configuration in which collector supply is 8V and the voltage drop across resistance RC connected in the collector circuit is 0.5V. The value of RC = 800 ohms. If α = 0.96, determine:
(i) collector-emitter voltage
(ii) base current
Date posted:
August 14, 2019
.
Answers (1)
-
For a transistor, ß = 45 and voltage drop across 1 kilo-ohm which is connected in the collector circuit is 1 volt.
(Solved)
For a transistor, β = 45 and voltage drop across 1 kilo-ohm which is connected in the collector circuit is 1 volt. Find the base current for common emitter connection.
Date posted:
August 14, 2019
.
Answers (1)
-
Find the a rating of the transistor shown in Fig. 4.20. Hence determine the value of IC using both a and ß rating of the...
(Solved)
Find the α rating of the transistor shown in Fig. 4.20. Hence determine the value of IC using both α and β rating of the transistor.

Date posted:
August 14, 2019
.
Answers (1)
-
Calculate IE in a transistor for which ß = 50 and IB = 20 µA.
(Solved)
Calculate IE in a transistor for which β = 50 and IB = 20 μA.
Date posted:
August 14, 2019
.
Answers (1)
-
Explain the Common Emitter Connection in transistors
(Solved)
Explain the Common Emitter Connection in transistors
Date posted:
August 14, 2019
.
Answers (1)
-
A common base transistor amplifier has an input resistance of 20 ohms and output resistance of 100 kilo-ohms.
(Solved)
A common base transistor amplifier has an input resistance of 20 ohms and output resistance of 100 kilo-ohms. The collector load is 1 kilo-ohm. If a signal of 500 mV is applied between emitter and base, find the voltage amplification. Assume aac to be nearly one
Date posted:
August 14, 2019
.
Answers (1)
-
Over what range of input voltage will the Zener circuit shown in Fig. 3.68 maintain 30 V across 2000 O load, assuming that series resistance...
(Solved)
Over what range of input voltage will the Zener circuit shown in Fig. 3.68 maintain 30 V across 2000 Ω load, assuming that series resistance R = 200 Ω and Zener current rating is 25 mA ?

Date posted:
August 14, 2019
.
Answers (1)