-
When a current of 6.42 A was passed through an electrolyte Y2+ ions for 10 minutes,2.74 of Y were deposited
(i) Calculate the quantity of electricity...
(Solved)
When a current of 6.42 A was passed through an electrolyte Y2+ ions for 10 minutes,2.74 of Y were deposited
(i) Calculate the quantity of electricity passed in the experiment
(ii) Determine the relative atomic mass of Y (1 Faraday = 96000 coulombs)
Date posted:
October 29, 2019
.
Answers (1)
-
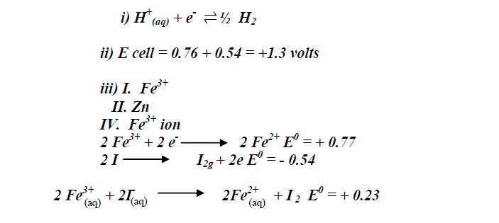
Study the standard electrode potential for the half-cells given below and answer the questions that follow.(The letter do not represent the actual symbols of the...
(Solved)
Study the standard electrode potential for the half-cells given below and answer the questions that follow.(The letter do not represent the actual symbols of the elements)

i) Identify the strongest oxidizing agents. Give a reason for your answer
ii) Which two half-cells would produce the highest potential difference when combined?
iii) In the space below draw a complete electro-chemical cell of the two-half cells mentioned
in (ii) above
Date posted:
October 29, 2019
.
Answers (1)
-
Consider the cell diagram below
(Solved)
Consider the cell diagram below:

i) Write the overall cell reaction for the above electrochemical cell
ii) Given that
value for
is -0.40V,calculate the
value for 
Date posted:
October 29, 2019
.
Answers (1)
-
The reaction blow is a redox reaction
(Solved)
The reaction blow is a redox reaction

(a) Identify the species reduced. Explain
(b) Write the equation for the oxidation reaction
Date posted:
October 29, 2019
.
Answers (1)
-
Sodium metal reacts with oxygen according to the following equation:-
(Solved)
Sodium metal reacts with oxygen according to the following equation:-

State one physical and one chemical difference between Na2O2 and Na2O
Physical difference......
Chemical difference......
Date posted:
October 29, 2019
.
Answers (1)
-
Study the electrode potentials in the table below and answer the question that follow:
(Letters are not the actual symbols of elements)
(Solved)
Study the electrode potentials in the table below and answer the question that follow:
(Letters are not the actual symbols of elements)

(a) Which one is the strongest reducing agent?
(b) Write the ionic equation for the reaction that takes place when Z is dipped in a solution
of G+ ions
(c) Calculate the
cell value of the reaction in (b) above
Date posted:
October 29, 2019
.
Answers (1)
-
Study the flow chart below and answer the questions that follow:
(Solved)
Study the flow chart below and answer the questions that follow:

(a) Name gas Q
(b) With the help of diagram, describe how step (V) is carried out
Date posted:
October 29, 2019
.
Answers (1)
-
What mass of Zinc will be deposited from a solution of Zinc (II) Chloride when a current of 3A is passed through the Zinc (II)...
(Solved)
What mass of Zinc will be deposited from a solution of Zinc (II) Chloride when a current of 3A is passed through the Zinc (II) Chloride solution during electrolysis for 50 minutes?
(Zn= 65, 1 Faraday = 96500C)
Date posted:
October 29, 2019
.
Answers (1)
-
In an electrolysis, a current of 200A was passed through molten oxide of metal Q for 58 minutes and 64.8g of the metal deposited. Determine;
i)...
(Solved)
In an electrolysis, a current of 200A was passed through molten oxide of metal Q for 58 minutes and 64.8g of the metal deposited. Determine;
i) Charge on metal Q
ii) The volume of oxygen gas produced at standard temperature and pressure
Q = 27 IF = 96500C, molar gas volume stp =22.4dm3
Date posted:
October 29, 2019
.
Answers (1)
-
Two experiments were carried out as follows and the volume of hydrogen gas evolved measured at intervals of 10 seconds for 100 seconds.
(i) 8cm of...
(Solved)
Two experiments were carried out as follows and the volume of hydrogen gas evolved measured at intervals of 10 seconds for 100 seconds.
(i) 8cm of magnesium ribbon was added to 1M hydrochloric acid
(ii) 8cm of magnesium ribbon was added to 0.5M hydrochloric acid
Graphs of volume of hydrogen evolved against time were plotted

(i) Which of the graph was obtained for reaction above? Explain
(ii) Explain the general shape of the graph
Date posted:
October 29, 2019
.
Answers (1)
-
The sketch below shows the rate at which substance T is converted into U. Study it and answer the questions that follows:-
(Solved)
The sketch below shows the rate at which substance T is converted into U. Study it and answer the questions that follows:-

When the equilibrium has been established the two curves become horizontal after sometime.
Explain the effect of the amount of the two reactants and products
Date posted:
October 29, 2019
.
Answers (1)
-
What is meant by activation energy?
(Solved)
What is meant by activation energy?
Date posted:
October 29, 2019
.
Answers (1)
-
What is the effect on the position of equilibrium of the above system if temperature is decreased? Give a reason
(Solved)

What is the effect on the position of equilibrium of the above system if temperature is decreased? Give a reason
Date posted:
October 29, 2019
.
Answers (1)
-
The following is a thermochemical equation for the reaction between hydrogen and oxygen
(Solved)
The following is a thermochemical equation for the reaction between hydrogen and oxygen

Calculate the bond energy between the elements in water given that:

Date posted:
October 29, 2019
.
Answers (1)
-
Equal volumes of 1M monobasic acids K and L were each reacted with excess zinc granules.
The table below shows the volumes of the gas produced...
(Solved)
Equal volumes of 1M monobasic acids K and L were each reacted with excess zinc granules.
The table below shows the volumes of the gas produced after two minutes

(a) Explain the difference in the volumes of the gas produced
(b) How can the production of the gas be increased?
Date posted:
October 29, 2019
.
Answers (1)
-
Metal R and S were used to form a cell. The following half equations show the standard electrode potentials of the half cells. (R and...
(Solved)
Metal R and S were used to form a cell. The following half equations show the standard electrode potentials of the half cells. (R and S are not actual symbols of the element)

Write the full equation for the cell and calculate the e.m.f
Date posted:
October 29, 2019
.
Answers (1)
-
Explain how you would obtain an insoluble salt XSO4 when you are provided with the following :-
(i) Distilled water
(ii) Solid YSO4 which is soluble in...
(Solved)
Explain how you would obtain an insoluble salt XSO4 when you are provided with the following :-
(i) Distilled water
(ii) Solid YSO4 which is soluble in water
(iii) Solid salt X(NO3)2
Date posted:
October 29, 2019
.
Answers (1)
-
The equation below represents a reaction that takes place in an industrial process
(Solved)
The equation below represents a reaction that takes place in an industrial process
4NH3(g) + 5O2(g)------>6H2O(g) + 4NO(g)
(a) Name the catalyst used
(b) What are the other conditions for the reaction?
(c) Why are the products cooled before being oxidised?
Date posted:
October 29, 2019
.
Answers (1)
-
The graph below represents the volume of gas collected against time when dilute sulphuric acid is reacted with Zinc granules:-
(Solved)
The graph below represents the volume of gas collected against time when dilute sulphuric acid is reacted with Zinc granules:-

(a) Determine the rate of reaction between the 1st and 3rd minute
(b) When did the reaction stop?
(c) Give a possible reason for the reaction to stop
Date posted:
October 29, 2019
.
Answers (1)
-
The sketch below was obtained when 2g of magnesium was reacted with excess of 2M hydrochloric acid. The volume of hydrogen evolved was then plotted...
(Solved)
The sketch below was obtained when 2g of magnesium was reacted with excess of 2M hydrochloric acid. The volume of hydrogen evolved was then plotted against time as shown below:

(a) On the same axis plot the graph that would be obtained if 1M hydrochloric acid was used instead of 2M hydrochloric acid. Explain
(b) Explain the significance of the flat portion BC of the curve
Date posted:
October 28, 2019
.
Answers (1)