-
James left sh 430,500 to be shared by his wife, daughter and son in the ratio of 2:1:3 respectively. His wife decided to divide her...
(Solved)
James left sh 430,500 to be shared by his wife, daughter and son in the ratio of 2:1:3 respectively. His wife decided to divide her share equally between her daughter and son. Find how much the daughter finally got.
Date posted:
November 19, 2019
.
Answers (1)
-
Last year, Onyango was four times as old as his son, in four years time, the sum of their ages will be 53. Determine their...
(Solved)
Last year, Onyango was four times as old as his son, in four years time, the sum of their ages will be 53. Determine their present ages.
Date posted:
November 19, 2019
.
Answers (1)
-
Without using mathematical tables or a calculator, evaluate:
(Solved)
Without using mathematical tables or a calculator, evaluate:

Date posted:
November 19, 2019
.
Answers (1)
-
Three numbers are such that m2n3k = 360. Find m, n, and k.
(Solved)
Three numbers are such that m2n3k = 360. Find m, n, and k.
Date posted:
November 19, 2019
.
Answers (1)
-
A body starts from rest and after t seconds its velocity in ms-1 was recorded as shown below;
Use the trapezoidal rule to estimate the distance...
(Solved)
A body starts from rest and after t seconds its velocity in ms-1 was recorded as shown below;

Use the trapezoidal rule to estimate the distance covered by the body between 1 and 6 seconds.
Date posted:
November 19, 2019
.
Answers (1)
-
Agotho has a rectangular plot that was measured to the nearest meter and found to be 80m in length and 60m in width. Determine the...
(Solved)
Agotho has a rectangular plot that was measured to the nearest meter and found to be 80m in length and 60m in width. Determine the percentage error in its perimeter.
Date posted:
November 19, 2019
.
Answers (1)
-
Solve for x given that the following is a singular matrix
(Solved)
Solve for x given that the following is a singular matrix 
Date posted:
November 19, 2019
.
Answers (1)
-
Evaluate without using Mathematical tables or a calculator.
2log5 - 1/2 log16 + 2 log40
(Solved)
Evaluate without using Mathematical tables or a calculator.
2log5 - 1/2 log16 + 2 log40
Date posted:
November 19, 2019
.
Answers (1)
-
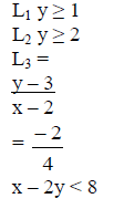
The region R in the figure below is defined by the inequalities L1, L2 and L3.
Find the three inequalities.
(Solved)
The region R in the figure below is defined by the inequalities L1, L2 and L3.

Find the three inequalities.
Date posted:
November 19, 2019
.
Answers (1)
-
A regular polygon has internal angle of 1500 and side of length 10cm.
(a) Find the number of sides of the polygon.
(b) Find the perimeter...
(Solved)
A regular polygon has internal angle of 1500 and side of length 10cm.
(a) Find the number of sides of the polygon.
(b) Find the perimeter of the polygon.
Date posted:
November 19, 2019
.
Answers (1)
-
Without using a calculator evaluate
(Solved)
Without using a calculator evaluate

Date posted:
November 19, 2019
.
Answers (1)
-
a) Complete the table below for the following function y = x3 - 3x2 - 5x + 7
b) On the grid provided draw the graph...
(Solved)
a) Complete the table below for the following function y = x3 − 3x2 − 5x + 7

b) On the grid provided draw the graph of y = x3 − 3x2 − 5x + 7 for −3 ≤ 𝑥 ≥ 5. (Use 2cm to represent 1 unit on the x- axis and 1 cm to represent 5 units on the y-axis).
c) Use the graph to solve the equation x3 − 3x2 − 5x + 7 = 0
d) By drawing a suitable line, use the graph in (b) to solve the equation x3 − 3x2 − 10x + 17 = 0.
Date posted:
November 19, 2019
.
Answers (1)
-
The diagram below shows a circle centre O. PQ is the tangent to the circle at C. Angle DCQ= 460 and angle BAC=270.
Find giving reasons...
(Solved)
The diagram below shows a circle centre O. PQ is the tangent to the circle at C. Angle DCQ= 460 and angle BAC=270.

Find giving reasons the size of each of the following angles.
a) Angle OAD.
b) Angle DBO.
c) Angle ACD.
d) Angle BDA.
e) Reflex angle BOC.
Date posted:
November 19, 2019
.
Answers (1)
-
In a carton there are 8 red pens, 5 blue pens and 2 green pens. Two pens are picked at random
from the carton without replacement.
a)...
(Solved)
In a carton there are 8 red pens, 5 blue pens and 2 green pens. Two pens are picked at random
from the carton without replacement.
a) Draw a probability three diagram to represent this information.
b) Use the tree diagram to find the probability that:
i) The first pen picked is red.
ii) The first pen picked is blue or green.
iii) The two pens picked are blue.
iv) At least one of the pens picked is green.
Date posted:
November 19, 2019
.
Answers (1)
-
The table below shows marks obtained by 50 students in a maths quiz.
(a) Starting from 21 and using equal class intervals of 10 make a...
(Solved)
The table below shows marks obtained by 50 students in a maths quiz.

(a) Starting from 21 and using equal class intervals of 10 make a frequency distribution table.
(b) On the grid provided, draw the cumulative frequenting curve for the data.
(c) Using the graph in(b) above estimate:
i) The upper quartile.
ii) The lower quartile.
iii) Hence find the quartile deviation.
Date posted:
November 19, 2019
.
Answers (1)
-
An airplane leaves town A(400N,1550W) and flys to town B(400N,250E) using the shortest route and at a speed of 450 knot (Take ?? =3.142 and...
(Solved)
An airplane leaves town A(400N,1550W) and flys to town B(400N,250E) using the shortest route and at a speed of 450 knot (Take 𝜋 =3.142 and radius of the earth R=6370km.)
(a)i) Calculate the distance between A and B covered by the airplane in nautical miles.
ii) Calculate the time taken by the aeroplane to fly from A to B.
(b) From B the plane flies westwards along the latitude to a town C(400N, 130W). Calculate the distance BC in kilometres.
(c) From town C, The plane took off at 3:10 p.m towards town D(100N, 130W) at the same speed. At what time did the plane land at D?
Date posted:
November 19, 2019
.
Answers (1)
-
A car hire company hire out cars such that there is a fixed charge and another part which varies with the distance covered. Taking C...
(Solved)
A car hire company hire out cars such that there is a fixed charge and another part which varies with the distance covered. Taking C to stand for total cost, d for distance covered, k for fixed charge and t for charge per kilometer.
a) Express C in terms of k,tand d.
b) Given that the total cost is 7000 when the distance is 200km and the total cost is 11000 when distance is 400km.
i) Find the values of k and t.
ii) Find the equation connecting c,t,k and d.
(c) Find the cost of hiring a car to area a distance of 500km.
(d) Due to increase in fuel prices, the company increased the fixed charge by 20% and charge per kilometer by 10%:
i) Find the cost of hiring the car for 500km.
ii) Find the percentage increase of hiring the car for the 500km.
Date posted:
November 19, 2019
.
Answers (1)
-
Find the centre and the radius of a circle whose equation is x2 + y2 + 6y - 8x - 2y = 0.
(Solved)
Find the centre and the radius of a circle whose equation is x2 + y2 + 6y − 8x − 2y = 0.
Date posted:
November 18, 2019
.
Answers (1)
-
Evaluate
(Solved)
Evaluate 
Date posted:
November 18, 2019
.
Answers (1)
-
Mutua wishes to take students from his mixed secondary school for a tour. The total number of students to be taken should not exceed 60....
(Solved)
Mutua wishes to take students from his mixed secondary school for a tour. The total number of students to be taken should not exceed 60. Each girl must contribute ksh. 10,000 and each boy Ksh. 15,000 and the total money contributed should not exceed ksh. 120,000. If this trip is to be successful the number of boys should be greater than the number of girls. Write down all the inequalities to represent this information taking the number of girls and boys to be y and x respectively.
Date posted:
November 18, 2019
.
Answers (1)