-
The following data was obtained from a Form IV examination results.
Complete the table above
(Solved)
The following data was obtained from a Form IV examination results.

Complete the table above
Date posted:
November 19, 2019
.
Answers (1)
-
A Kenyan family intended to spent a holiday in France where Ksh 90,000 was exchanged into Francs.
Currency conversation rate is as follows
KES ...
(Solved)
A Kenyan family intended to spent a holiday in France where Ksh 90,000 was exchanged into Francs.
Currency conversation rate is as follows
KES Buying (Francs) Selling (Francs)
Ksh 100 53.50 55.75
The family spent 37, 0000 Franc and changed the rest into Kenya shillings. How much did the holiday cost?
Date posted:
November 19, 2019
.
Answers (1)
-
Using tables of reciprocals evaluate
(Solved)
Using tables of reciprocals evaluate

Date posted:
November 19, 2019
.
Answers (1)
-
Given that tan (90-x) = 3/4 without using calculators or tables,
Find: (i) Sin x
(ii) Cos (90 – x)
(Solved)
Given that tan (90-x) = 3/4 without using calculators or tables,
Find: (i) Sin x
(ii) Cos (90 – x)
Date posted:
November 19, 2019
.
Answers (1)
-
A variable y varies partly as x and partly inversely as x. Given that y=17 when x=4 and y=13 when x=6, Determine;
(a) the law connecting...
(Solved)
A variable y varies partly as x and partly inversely as x. Given that y=17 when x=4 and y=13 when x=6, Determine;
(a) the law connecting y and x.
(b) the value of y when x=10
Date posted:
November 19, 2019
.
Answers (1)
-
The diagram below shows a region R bounded by 3 lines L1, L2 and L3
Determine the 3 inequalities satisfied by the region marked R.
(Solved)
The diagram below shows a region R bounded by 3 lines L1, L2 and L3

Determine the 3 inequalities satisfied by the region marked R.
Date posted:
November 19, 2019
.
Answers (1)
-
James left sh 430,500 to be shared by his wife, daughter and son in the ratio of 2:1:3 respectively. His wife decided to divide her...
(Solved)
James left sh 430,500 to be shared by his wife, daughter and son in the ratio of 2:1:3 respectively. His wife decided to divide her share equally between her daughter and son. Find how much the daughter finally got.
Date posted:
November 19, 2019
.
Answers (1)
-
Last year, Onyango was four times as old as his son, in four years time, the sum of their ages will be 53. Determine their...
(Solved)
Last year, Onyango was four times as old as his son, in four years time, the sum of their ages will be 53. Determine their present ages.
Date posted:
November 19, 2019
.
Answers (1)
-
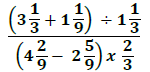
Without using mathematical tables or a calculator, evaluate:
(Solved)
Without using mathematical tables or a calculator, evaluate:

Date posted:
November 19, 2019
.
Answers (1)
-
Three numbers are such that m2n3k = 360. Find m, n, and k.
(Solved)
Three numbers are such that m2n3k = 360. Find m, n, and k.
Date posted:
November 19, 2019
.
Answers (1)
-
A body starts from rest and after t seconds its velocity in ms-1 was recorded as shown below;
Use the trapezoidal rule to estimate the distance...
(Solved)
A body starts from rest and after t seconds its velocity in ms-1 was recorded as shown below;

Use the trapezoidal rule to estimate the distance covered by the body between 1 and 6 seconds.
Date posted:
November 19, 2019
.
Answers (1)
-
Agotho has a rectangular plot that was measured to the nearest meter and found to be 80m in length and 60m in width. Determine the...
(Solved)
Agotho has a rectangular plot that was measured to the nearest meter and found to be 80m in length and 60m in width. Determine the percentage error in its perimeter.
Date posted:
November 19, 2019
.
Answers (1)
-
Solve for x given that the following is a singular matrix
(Solved)
Solve for x given that the following is a singular matrix 
Date posted:
November 19, 2019
.
Answers (1)
-
Evaluate without using Mathematical tables or a calculator.
2log5 - 1/2 log16 + 2 log40
(Solved)
Evaluate without using Mathematical tables or a calculator.
2log5 - 1/2 log16 + 2 log40
Date posted:
November 19, 2019
.
Answers (1)
-
The region R in the figure below is defined by the inequalities L1, L2 and L3.
Find the three inequalities.
(Solved)
The region R in the figure below is defined by the inequalities L1, L2 and L3.

Find the three inequalities.
Date posted:
November 19, 2019
.
Answers (1)
-
A regular polygon has internal angle of 1500 and side of length 10cm.
(a) Find the number of sides of the polygon.
(b) Find the perimeter...
(Solved)
A regular polygon has internal angle of 1500 and side of length 10cm.
(a) Find the number of sides of the polygon.
(b) Find the perimeter of the polygon.
Date posted:
November 19, 2019
.
Answers (1)
-
Without using a calculator evaluate
(Solved)
Without using a calculator evaluate

Date posted:
November 19, 2019
.
Answers (1)
-
a) Complete the table below for the following function y = x3 - 3x2 - 5x + 7
b) On the grid provided draw the graph...
(Solved)
a) Complete the table below for the following function y = x3 − 3x2 − 5x + 7

b) On the grid provided draw the graph of y = x3 − 3x2 − 5x + 7 for −3 ≤ 𝑥 ≥ 5. (Use 2cm to represent 1 unit on the x- axis and 1 cm to represent 5 units on the y-axis).
c) Use the graph to solve the equation x3 − 3x2 − 5x + 7 = 0
d) By drawing a suitable line, use the graph in (b) to solve the equation x3 − 3x2 − 10x + 17 = 0.
Date posted:
November 19, 2019
.
Answers (1)
-
The diagram below shows a circle centre O. PQ is the tangent to the circle at C. Angle DCQ= 460 and angle BAC=270.
Find giving reasons...
(Solved)
The diagram below shows a circle centre O. PQ is the tangent to the circle at C. Angle DCQ= 460 and angle BAC=270.

Find giving reasons the size of each of the following angles.
a) Angle OAD.
b) Angle DBO.
c) Angle ACD.
d) Angle BDA.
e) Reflex angle BOC.
Date posted:
November 19, 2019
.
Answers (1)
-
In a carton there are 8 red pens, 5 blue pens and 2 green pens. Two pens are picked at random
from the carton without replacement.
a)...
(Solved)
In a carton there are 8 red pens, 5 blue pens and 2 green pens. Two pens are picked at random
from the carton without replacement.
a) Draw a probability three diagram to represent this information.
b) Use the tree diagram to find the probability that:
i) The first pen picked is red.
ii) The first pen picked is blue or green.
iii) The two pens picked are blue.
iv) At least one of the pens picked is green.
Date posted:
November 19, 2019
.
Answers (1)