Trusted since 2008
Chat on WhatsApp

I.C.T Notes on Data Processing Techniques

KES 50
Secure M-PESA Paybill • Instant digital delivery
View all Notes.
1090 Views
1 Purchases

Summary

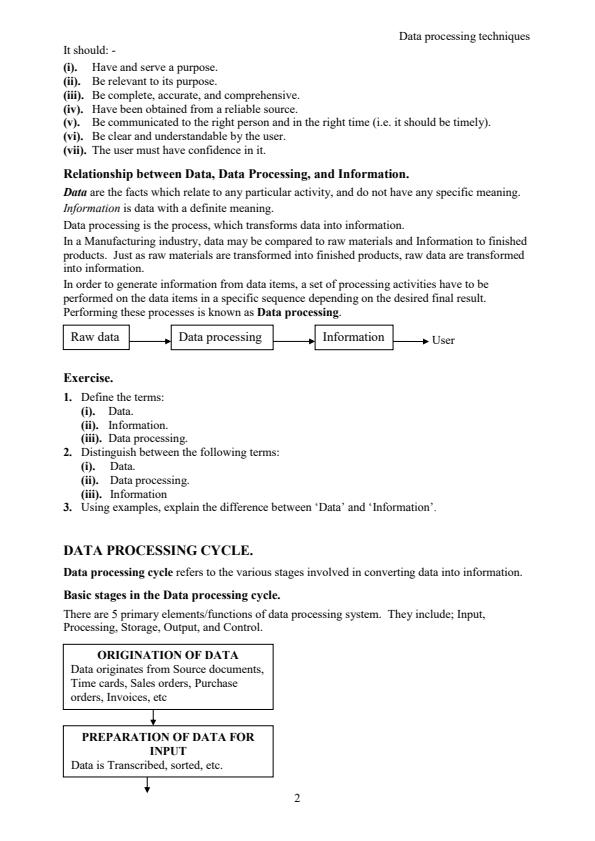
DATA PROCESSING.

Data processing deals with how data is organized & processed in the computer.

DATA:

? Data is a collection of facts & figures, which can be processed to produce information.

? Data are the facts relating to an activity in a given environment.
The activity can be Accounting, Inventory control, etc. Environment can be business, scientific, education, etc.

Examples:
? In an educational environment, when students sit for exams, the grades obtained represent the data to be processed by the computer. In this case, data can be Names of students & Marks obtained.

? In a business environment, data can be the No. of Hours worked, names of employees, Stock

?
Data can also be described as Raw data, if they are not yet processed, i.e. if they do not convey particular meaning to a given activity within any given environment.

It therefore means that, Data are unprocessed information consisting of details relating to business transactions. For example, in a Payroll system, data are employee’s names, basic salary, department number, marital status, etc.

DATA PROCESSING:

? The collection, manipulation & distribution of data (i.e.) letters, numbers & graphic symbols, to achieve certain objectives.

The processing may involve calculations, comparisons, decision-making and/or any other logic to produce the required result.

? The activity of manipulating the raw facts to generate a set of meaningful data (described as Information), which is able to convey some meaning.

? Those activities, which are concerned with the systematic recording, arranging, filing, processing, and dissemination of facts relating to the physical events occurring in a business.

Data processing is a very important activity in any organization of any size or nature because it generates information for decision-making.

If the data processing uses complicated processing tools or aids, e.g. the computer, it is described as Electronic Data Processing (EDP).

INFORMATION.

? Information is data, which is summarized and processed in the way you want it, so that it is useful in your work.

? Information is an assembly of meaningful data items.

The information in Payroll activity includes; Net pay, Total Tax deductions, etc. In Stock Control, the information generated includes; Closing stock, Total cost of the items, Purchases, Sales, etc.

The information is obtained by applying some processing procedures onto the raw data being input. For example, to get the Net pay in a Payroll activity, the procedure would be;

Net pay = (Basic salary + Allowances + Overtime, if any) – Taxes.


Information is the end product of data processing available at the right place, the right time and in the right form.

The information generated by the data processing activities is very important in the working strategies of any organization, because it is used by the organization to make decisions.
............................................

You’re viewing a preview. Buy now to unlock the full document and download instantly after M-PESA payment.

  • Page 1 – I.C.T Notes on Data Processing Techniques – Kenyaplex
  • Page 2 – I.C.T Notes on Data Processing Techniques – Kenyaplex
  • Page 3 – I.C.T Notes on Data Processing Techniques – Kenyaplex
........

This is the end of this document preview. Buy to download the complete document.

Recommended Resources

More Resources


  • Grade 4 French Assessment Test End Term 2 2022

    Grade 4 End of Term 2 2022 assessment Test covering Grade 4 content taught in Term 1 and 2. Suitable for the learners in Grade 4.Learners in grade 5 and 6 can also use the test for revision.

    Price: KES :  100

  • Grade 5 French Assessment Test End Term 2 2022

    Grade 5 assessment test at the end of term 2 2022. It covers the content taught in Grade 4 and part of Grade 5 work. It is suitable for learners learning French in Grade 5. Also suitable for...

    Price: KES :  100

  • Grade 6 Sample French Assessment Test End Term 2 2022

    Grade 6 assessment test for end term 2 2022. It covers all the content learnt in Grade 4,5 and part of Grade 6. Suitable for learners in Grade 6.

    Price: KES :  100

  • 2024 Grade 6 Physical and Health Education Lesson Notes Term 2

    Get high quality Grade 6 Physical Health Education Lesson Notes Term 2 . Available in Ms word format. GRADE 6 PHYSICAL AND HEALTH EDUCATION NOTES NETBALL Facility - NETBALL is a non-contact...

    Price: KES :  100

  • Grade 7 Visual Arts Notes Term 2

    Download detailed Grade 7 term 2 Visual Arts notes with illustrations and relevant pictures.

    Price: KES :  150

  • Critically expose Jonathan Swift’s ‘Gulliver’s Travels’ to Post modernism study: LIT 410

    Critically expose Jonathan Swift;s "Gullivers Travels" to a post modernism approach. - The paper gives an insight to how you can evaluate the above mentioned text using a post modernism approach. -...

    Price: KES :  100

  • Business Studies: Forms of Business Units Notes

    Short notes on Business Studies: Forms of Business Units ............

    Price: KES :  47

  • Physics Notes on Heat Energy

    A clear summary of heat energy topic taught in high school. Heat Energy Notes.

    Price: KES :  29

  • AEC 418 Project Appraisal and Evaluation - Project Appraisal Case Studies

    This is a well highlighted and well explained topic about project appraisal case studies. It has the following sub topics: (i) Transport networks (ii) Project identification (iii) Feasibility and...

    Price: KES :  100

  • Second Year Human Resource Management Notes

    These notes help build adequate understanding concerning the human resource management in an organization including its environment, both micro and macro explained in detail.

    Price: KES :  300

  • Management Information System Notes for 2nd Year

    I have prepared my notes after research and i think they have the content needed in this unit.They are 15 pages in number and they cover the major parts of the unit.The best way to proof them is by...

    Price: KES :  350

  • Computer Studies Notes

    Introduction to computer studies notes. Brief Overview: Definition of a Computer: - A Computer is an electronic device that operates (works) under the control of programs stored in its own...

    Price: KES :  200

  • CCP 4I6: Security Design and Formulation Notes

    CCP 4I6: Security Design and Formulation Notes Brief Overview: 2 Introduction Physical security is defined as: Physical measurers, policies, and procedures to protect an organizations systems,...

    Price: KES :  300

  • UCU 104: Introduction to Entrepreneurship Notes

    This is a summarized class notes document for the entire unit. The notes include some practice exercises that can speculate how the continuous assessment and final exams look like. Brief...

    Price: KES :  1200

  • Medical Physiology Notes

    These notes include the definition of protozoa, the relationships between the protozoa and the host, the reproduction of protozoa and taxonomy of protozoa.

    Price: KES :  300

  • Kenya Methodist University Diploma in Pharmaceutical Technology Pharmacology Notes

    The notes define various terms used in Pharmacology and various modes of administration of drugs. They also state the various forms of drugs, definition of bioavailability of drugs and the factors...

    Price: KES :  250

  • KCSE 2016 Agriculture Paper 1 Questions and Answers

    Agriculture Kcse 2016 Paper 1 questions and answer. This is good revision material for the candidates. Brief Overview: No.1.List four factors that would determine the stage at which a crop is...

    Price: KES :  30

  • Geography Form 2 article on Batholiths

    This is an easy to read article on Batholiths that is comprehensive but enjoyable. It simplifies the description of batholiths. The objective is to make the topic less abstract.

    Price: KES :  50

  • Evidence Law Notes CLS 202

    The notes are structured in a systematic way according to the council of legal education requirement for the core law subject Evidence law. Case laws, statutes and the constitution are provided in...

    Price: KES :  950

  • Physical education notes for PTE 1st years and 2nd years

    Looking for Primary Teacher Education (PTE) notes for physical education 1st year and 2nd year? You can find them here. These notes helps the tutor in lecturing and the student teacher in revisions...

    Price: KES :  200

  • Solved Questions for Macroeconomics

    Solved questions and answers for macroenomics. High quality questions with answers. Brief Overview: Chapter 3, Question 1 (Evolution of the household) Determine whether each of the following...

    Price: KES :  259

  • Education Notes for Primary Teacher Education (PTE)

    These notes may be used by tutors in lecturing and student teacher in revision. This document summaries the main content of the new syllabus for teachers’ colleges. Besides samples examination...

    Price: KES :  200

  • English Methodology Notes for Primary Teacher Education (PTE)

    English Methodology Notes for Primary Teacher Education (PTE). These notes may be used by student teacher in revision.. Brief Overview: Definition of Language Language as a word is based on the...

    Price: KES :  200

  • Kiswahili Ushairi Notes

    Best Ushairi Kiswahili notes. It is in point form to help both the teacher and the student in Ushairi. Brief Overview: Kitengo Ushairi Mashairi yanaweza kugawanywa katika aina mbalimbali...

    Price: KES :  100

  • Kiswahili Notes for Teachers and Students

    This document contains Kiswahili notes which may be used by the teacher in teaching and the student in revision. Brief Overview: STADI ZA LUGHA Katika Kiswahili kuna sauti mbili ambazo...

    Price: KES :  200

  • Detailed Oral literature Notes and Model Questions

    Oral literature is one of the are as tested in Literature in English of the Kenya Certificate of Secondary Education Examinations. The other are as in this paper include The Novel, Drama, Poetry and...

    Price: KES :  100

  • Biology Form Four Notes on Evolution

    FORM FOUR BIOLOGY CLASS NOTES TOPIC: EVOLUTION Topic objectives At the end of this topic, the learner should be able to: I)Define the term Evolution II) Describe the origin of life III) Describe...

    Price: KES :  50

  • Biology Form Two Notes: Excretion and Homeostasis

    FORM TWO BIOLOGY NOTES. TOPIC: EXCRETION AND HOMEOSTATIS Objective: At the end of this topic, the learner should be able to; i) Distinguish between excretion and homeostasis ii) Explain various...

    Price: KES :  120

  • Microsoft Access Notes

    This document contains 14 pages of Microsoft Access Notes. They are high quality, detailed and ready for use. Brief Overview: DATABASE MANAGEMENT SYSTEMS These are software that allow records...

    Price: KES :  100

  • Operating Systems Questions and Answers

    UNIT I 1. What is an Operating system? An operating system is a program that manages the computer hardware. It also provides a basis for application programs and act as an intermediary between a...

    Price: KES :  360

More Content By 6611588


  • Form 1 Head Start English Schemes of Work Term 2 2022

    Download Form 1 head start English schemes of work for term 2 2022.

    Price: KES :  80

  • Fabrication Technology notes on Oxy-Flame cutting

    Download detailed fabrication technology notes on Oxy -Flame cutting. the notes are best for teaching and revision by students undertaking mechanical engineering module 1 chapter 4 oxy- flame...

    Price: KES :  70

  • ICT Sample Industrial Report at Nairobi water and Sewerage Company

    Download sample attachment report for Kenya Teachers Training College held at Nairobi Waters And Sewerage Company Limited. ABSTRACT My attachment period at the Nairobi City Water and Sewerage...

    Price: KES :  150

  • Analogue Electronics: Field Effect Transistors (FETS) Notes

    Download Lecture notes topic 6 Field Effect Transistors (FETS) Notes. The notes are for students pursing Diploma In Electrical and electronic engineering Module 1.

    Price: KES :  160

  • KMTC Casting and Splinting Techniques Notes (Certificate in Orthopaedic and Trauma Medicine)

    Get Casting and Splinting Techniques Notes for Certificate in Orthopaedic and Trauma Medicine Brief overview CAST TECHNIQUES Introduction Cast Care Introduction • The function of a cast is to...

    Price: KES :  180

  • Complications of Fractures PowerPoint Notes (Certificate in Orthopaedic and Trauma Medicine)

    Complications of Fractures PowerPoint Notes (Certificate in Orthopaedic and Trauma Medicine)

    Price: KES :  100

  • Endocrine Physiology PowerPoint Notes (Certificate in Orthopaedic and Trauma Medicine)

    Endocrine Physiology PowerPoint Notes (Certificate in Orthopaedic and Trauma Medicine)

    Price: KES :  120

  • Thorax Anatomy Notes (Certificate in Orthopaedic and Trauma Medicine)

    Thorax Anatomy notes (Certificate in Orthopaedic and Trauma Medicine)

    Price: KES :  100

  • Orthopaedic Surgery MCQs With Answers

    Orthopaedic Surgery MCQs With Answers 1) Origin of bone is from: a. Ectoderm. b. Mesoderm. c. Endoderm. d. All of the above. 2) Acute osteomyelitis is commonly caused by: a. Staph...

    Price: KES :  140

  • Sample Industrial Attachment Report for Diploma in Social Work and Community Development

    Sample Industrial Attachment Report for Diploma in Social Work and Community Development.

    Price: KES :  200

  • Maudhui na sifa za wahusika katika tamthilia ya Bembea ya Maisha

    Maudhui na sifa za wahusika katika tamthilia ya Bembea ya Maisha MAUDHUI NA SIFA ZA WAHUSIKA KATIKA BEMBEA YA MAISHA SEHEMU YA KWANZA ONYESHA YA 1, 2, 3 Maudhui ni jumla ya mawazo yote...

    Price: KES :  100

  • Diploma in Software Engineering Notes

    Download software Engineering Notes Unit-1 Introduction to Software Engineering 1.1 Process and Project 1.2 Software Components 1.3 Software Characteristics 1.4 Software Crisis 1.5...

    Price: KES :  150

  • Sample Industrial Attachment Report for Bachelor of Science in Computer Science

    An industrial attachment report submitted in partial fulfillment of the requirements for the award of the degree of Computer Science, department of Physics and Computer Science in the school of...

    Price: KES :  250

  • Secondary English Grammar and Literature Notes

    Download Grammar and Literature Notes PAPER ONE These are the areas examined under paper one 1. Functional writing—this entails items or compositions written for a specific purpose; For example,...

    Price: KES :  140

  • Family Planning Notes

    FAMILY PLANNING/ CHILD SPACING: Refers to deliberate spacing between children/ births to allow longer birth intervals. Is the process of child spacing so that the couple has the number of...

    Price: KES :  150

  • Ricket and Osteomalacia Notes

    Download Ricket and Osteomalacia Notes, these notes are well detailed for student taking Diploma in clinical medicine and surgery. ................

    Price: KES :  150

  • Abnormal labor and management Notes

    Abnormal labor and management Notes. The notes are well detailed for students undertaking Diploma in clinical medicine. Abnormal labor is when there is: Poor progress of labor( evidenced by delay...

    Price: KES :  150

  • Antepartum Hemorrhage Notes

    Antepartum Hemorrhage Notes ANTEPARTUM HAEMORRHAGE Overview: Bleeding in the second half of pregnancy is a serious condition that requires urgent medical attention. It complicates 3–5% of...

    Price: KES :  100

  • Cell Pathology Notes

    cell pathology lectures notes Unit 2: Cell Pathology Topic Duration (hours) 1. Cellular Adaptations 2 2. Cell Growth Disorders 2 3. Cell Injury 3 4. Cell Death and Necrosis 3 5. Tumours...

    Price: KES :  150

  • ICT Notes on Internet

    well detailed ICT Lecture Notes on internet INTERNET. Why Study about the Internet? To understand what the Internet is, the services that it offers, what is required in order to get connected,...

    Price: KES :  80

View all resources  

What Our Users Say