Trusted since 2008
Chat on WhatsApp

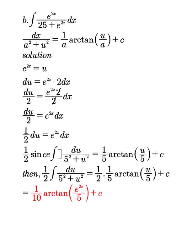
Calculus II (Integration) Solved Questions and Answers

KES 200
Secure M-PESA Paybill • Instant digital delivery
1995 Views
4 Purchases

Summary

Contains university-level calculus II integration questions and their solutions.

You’re viewing a preview. Buy now to unlock the full document and download instantly after M-PESA payment.

  • Page 1 – Calculus II (Integration) Solved Questions and Answers – Kenyaplex
  • Page 2 – Calculus II (Integration) Solved Questions and Answers – Kenyaplex
  • Page 3 – Calculus II (Integration) Solved Questions and Answers – Kenyaplex
  • Page 4 – Calculus II (Integration) Solved Questions and Answers – Kenyaplex
........

This is the end of this document preview. Buy to download the complete document.

Recommended Resources

More Resources


  • The Three(3) Key Pillars of Success E-Book

    What do I need to put in place or do to be accomplished and be successful in life? This could be the most fascinating question, thought or imagination you have ever encountered in your life. And this...

    Price: KES :  2500

  • Book Keeping Question 1 and Answers

    This will appear on the first question on book keeping. Brief Overview: Income Statement (Profit & Loss Account) It discloses operating results of an organization by comparing revenue or income...

    Price: KES :  100

  • English Short Story: Alpha Gehkohyow the Dog

    Alpha Gehkohyow the Dog is an entertaining story about Gehkohyow the Dog rise to power in the Maykohyow forest after his mother Mohmbee is killed in a fight between the FIREFAMILY members and the...

    Price: KES :  200

  • COCM 1012: Accounting for Partnerships Notes

    This document contains definitions, explanations, and several study guides.It has been accepted by most universities for use by learners pursuing respective courses. LEARNING OBJECTIVES After...

    Price: KES :  90

  • Public Procurement and Disposal Regulations

    It contains The public procurement regulations of 2016,which means it addresses the emerging issues in procurement and also how they should be handled. ..................

    Price: KES :  300

  • DBM 114: Fundamentals of Accounting I Notes

    Course Contents Week 1.................... Introduction to Accounting Week 2.................... The Accounting Equation and Financial...

    Price: KES :  1000

  • Wages of War

    A romantic story with all hallmark of heroism, love, thriller, saga and drama. It is another one of the rarest history eBook with an epic tale of love over hate that happened in the midst of the...

    Price: KES :  60

  • “Starting a small business can be very rewarding” Discuss this statement with reference to ladies fashion shop.

    “Starting a small business can be very rewarding” Discuss this statement with reference to ladies fashion shop. INTRODUCTION Most small business enterprises are solely owned and have very few...

    Price: KES :  350

  • Develop an ideal partnership deed for a private medical laboratory

    BUSS 221: Fundamentals of Entrepreneurship Your three friends have approached you with an idea of partnering in starting a private medical laboratory. All of you have agreed on the need for a...

    Price: KES :  400

  • Explain the role of County Government in facilitating the development of small and micro business enterprises

    BUSS 221: Fundamentals of entrepreneurship Explain the role of County Government in facilitating the development of small and micro business enterprises. ............................

    Price: KES :  300

  • Explain why many University graduates in Kenya are not enthusiastic in starting their own businesses

    BUSS 221: Fundamentals of entrepreneurship Explain why many University graduates in Kenya are not enthusiastic in starting their own businesses. ..........................

    Price: KES :  300

  • Describe how a medical entrepreneur can enhance customer loyalty in a private clinic

    BUSS 221: Fundamentals of entrepreneurship Describe how a medical entrepreneur can enhance customer loyalty in a private clinic. .................................

    Price: KES :  300

  • Discuss how the new tax on petroleum products is affecting the growth of Small and Medium Enterprises (SMEs) in Kenya

    BUSS 221: Fundamentals of entrepreneurship Discuss how the new tax on petroleum products is affecting the growth of Small and Medium Enterprises (SMEs) in Kenya. ..........................

    Price: KES :  300

  • How to prevent and deter corruption in government (Kenya) sector 2018

    How to prevent and deter corruption in government (kenya) sector 2018 Brief Overview: Fraudulent conduct by those in Political Power or Government Offices. 1. Strengthen the Judiciary 2. Form...

    Price: KES :  500

  • Transcription Notes

    It contains a series of self study notes on transcription with examples, tests and practice samples. TRANSCRIPTION AGENDA. Introduction; Hello and welcome to the Business World that is solely...

    Price: KES :  100

  • Distinction Series Bk 1 : Information and Communication Technology E-book

    Information and Communication Technology ebook. Covers Introduction to Computers in depth. Illustrated with pictures where necessary. Brief Overview: Introduction to Computers What is a...

    Price: KES :  500

  • Telecommunication Notes

    KCA University. Telecommunication Notes. LECTURE ONE: FUNDAMENTALS OF TELECOMMUNICATIONS 1.1 Introduction Welcome to the first lecture on the transmission fundamentals. This module is an...

    Price: KES :  500

  • Sample Two Bedroom House Plan

    This document contains sample Two Bedroom House Plan. Home plans with two bedrooms range from simple, affordable cottages (perfect for building on a tight budget) to elegant empty nests filled with...

    Price: KES :  1000

  • Online Business Ideas E-Book

    This eBook highlights the various business ideas to make some income online. There are no the MLM things in this ebook. I advise after reading it you take some action. ,................METHOD 1:...

    Price: KES :  0

  • Simple 2 bedroom house plans

    2 Bedroom architectural house plan. For many people, owning a house is one of the greatest achievements in life. Today, the cost of living has escalated and any person renting a house can testify how...

    Price: KES :  1000

  • KMTC: Behavioural Science Notes - Diploma/Certificate in Nutrition and Dietetics

    INTRODUCTION TO BEHAVIOURAL SCIENCES Course purpose This course is aimed at equipping the trainees with relevant knowledge; skills and attitudes that shall enable them understand basic elements...

    Price: KES :  300

  • Cooperative Philosophy Notes

    At the end of the unit the learners, should be able to;- 1. Appreciate the democratic nature of co-operative 2. Evaluate the relevance of co-operative principles to the Kenya Social-economic...

    Price: KES :  100

  • KASNEB ATD Introduction to Financial Accounting - Revision kit

    KASNEB introduction to Financial accounting Revision kit

    Price: KES :  500

  • Guide on how to start a successful barbershop in Kenya

    Guide on how to start a barbershop in Kenya. Best techniques for fruitful business. Overview Generally barber shops can be divided into two; a) Normal/ Traditional Barber Shops The normal...

    Price: KES :  100

  • General essay and excerpts questions and answers in A Doll's house

    This booklet entails questions and answers on Essay question on A doll's hause ,Excerpts questions for candidates.The essay questions are well explained and straight to the point .

    Price: KES :  70

  • Daily English Conversation Useful Skills

    Well, it's my hope that you are going to find this ebook very interesting and edifying. Of course in it you will find different English skills on how to communicate effectively and efficiently. For...

    Price: KES :  150

  • Making Own Poultry Feed E-Books

    Comprehensive guide to Making own poultry feeds guide step by step, includes all raw materials needed and where to source raw materials.

    Price: KES :  150

  • Diet Therapy Notes: Certificate and Diploma in Nutrition and Dietetics

    Explore Diet Therapy Notes for a Certificate and Diploma in Nutrition and Dietetics. Get comprehensive insights without delay.

    Price: KES :  300

  • Primary Health Care Notes: Certificate and Diploma in Nutrition and Dietetics

    Attention Medical Students! Are you looking for a comprehensive and reliable resource to enhance your understanding of primary healthcare? Look no further! We are excited to offer you a fantastic...

    Price: KES :  300

  • Computer Basics For Kids eBook

    Computer Basics For Kids Notes This eBook is developed to enhance computer skills for kids of age 7yrs and above. In this era of digital literacy it’s important to develop tech skills to our younger...

    Price: KES :  300


View all resources  

What Our Users Say