Trusted since 2008
Chat on WhatsApp

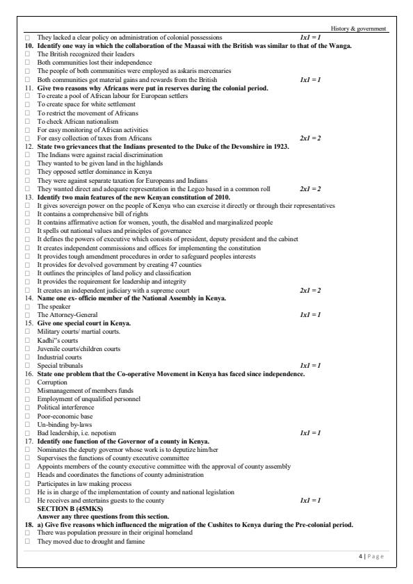
Form Four History Questions and Answers

KES 200
Secure M-PESA Paybill • Instant digital delivery
2659 Views
2 Purchases

Summary

Well simplified History questions with answers that run from form one to form four.This will help the candidate to prepare for his/her K.C.S.E exams and pass with ease,the notes are accurate without any errors as great scholars from outstanding schools have passed through them and approved.Buy and enjoy.Success.

MAKUENI COUNTY CLUSTER PREPARATORY EXAMINATION 2016
311/1
HISTORY AND GOVERNMENT
PAPER 1
Time: 2 ½ Hours
JULY/AUGUST 2016
SECTION A: - 25 MARKS
Answer ALL the questions in this section
1. Identify one method used by archaeologists to determine the age of an artefact. (1mark)
2. Give two reasons why Kenyan communities fought against each other during the pre- colonial period. (2marks)
3. Identify two natural factors that facilitated the coming of early visitors to the Kenyan coast before 1500 A.D. (2marks)
4. Name the Portuguese commander who led in the conquest of East coast between 1500 and 1511 A.D. (1mark)
5. State two treaties that were signed between the British and the Sultan of Zanzibar to end slave trade. (2marks)
6. State one factor that influenced Seyyid Said to establish large plantation farm in the Kenyan coast. (2marks)
7. State two groups that monitor human rights in Kenya.
..............

You’re viewing a preview. Buy now to unlock the full document and download instantly after M-PESA payment.

  • Page 1 – Form Four History Questions and Answers – Kenyaplex
  • Page 2 – Form Four History Questions and Answers – Kenyaplex
  • Page 3 – Form Four History Questions and Answers – Kenyaplex
  • Page 4 – Form Four History Questions and Answers – Kenyaplex
........

This is the end of this document preview. Buy to download the complete document.

Recommended Resources

More Resources


  • CRE Form Four April Holiday Assignment Paper 1 and 2

    CRE Form Four April Holiday Assignment for both Paper 1 and Paper 2. FORM FOUR CRE HOLIDAY ASSIGNEMENT PAPER 1 AND 2,...............................................................

    Price: KES :  0

  • CRE Form 4 Past paper Holiday Assignment

    CRE Form 4 April Holiday Assignment 2019. APRILL/MAY CRE HOLIDAY ASSIGNMENT FORM FOUR YEAR 2019 UNIT 1: WORK. 1. Why do you think a man should work? 2. What are the accepted rights of...

    Price: KES :  0

  • Form 4 English April Holiday Assignment

    Form 4 English April Holiday Assignment 2023 . .......1.Read the poem below and answer the questions below that follows Building the nation Today I did my share In building the nation I drove...

    Price: KES :  0

  • Probability and Statistics: Z Table

    This article consists of the z table to be used in statistics classes Like the Student's t-Distribution, the Chi-square distribution's shape is determined by its degrees of freedom. The animation...

    Price: KES :  300

  • BCM 1206: Introduction to Programming Short Summary

    This document only contains the most critical parts in programming including the computer languages,generations and modules.

    Price: KES :  50

  • Activities and Inputs for Implementing the Community Strategy in Kenya

    Community strategy notes as entitled above describes and analyses the activities and inputs for implementing the community strategy in kenya according to NSSP II in Kenya.

    Price: KES :  300

  • ISC 211: Discuss the view that socratic questioning method exemplifies critical and creative thinking

    Topic Meaning Context Effects related.

    Price: KES :  100

  • Assignment: Discuss Real Investments Trusts RIETS as established by STANLIB Kenya recently

    Assignment: Discuss Real Investments Trusts RIETS as established by STANLIB Kenya recently

    Price: KES :  50

  • EDK 400: HADITHI FUPI NA RIWAYA

    Kwenye kazi hii, kuna maana ya riwaya na asili yake, sifa za hadithi fupi na zile za riwaya, pia kuna vijenzi au vipengele mbalimbali vya hadithi fupi na Riwaya. Natumai kazi hii itamfaa yeyote yule...

    Price: KES :  200

  • Mwongozo wa Kigogo Notes

    Mwongozo wa tamthilia ya Kigogo.Ni mwongozo ambayo itamwezesha mwalimu pamoja na mwanafunzi kuwa na umilisi wa kuilewa Tamthilia yenyewe.Jipatie nakala yako. Brief Overview: MWONGOZO WA...

    Price: KES :  150

  • Discuss effects of ewaste in Kenya and how they affect the environment

    Discuss effects of e- waste in Kenya and how they affect the environment Brief Overview. Introduction: Electronic waste or e waste describes discarded electrical or electronic devices used...

    Price: KES :  30

  • A research proposal on the impact of sustainable entrepreneurship on company performance in the Chinese electronic industry

    A research proposal on the impact of sustainable entrepreneurship on company performance in the Chinese electronic industry; case of Gree electronic appliances Inc.

    Price: KES :  650

  • KCSE Biology Paper 1 Questions and Answers

    KCSE BIOLOGY REVISION SERIES BIOLOGY I PART I SECTION A. 1. Name the process by which the amoeba removes the indigestible material 2mks 2. Name two reasons why viruses are sometimes termed as...

    Price: KES :  350

  • 10 Sample Agriculture Paper 1 Questions and Answers

    10 Samplle Papers + Answer SAMPLE PAPER 1 SECTION A (30MARKS) ANSWER ALL QUESTIONS List down two processes of weathering (2mks) Give two characteristics of a perfect market (2mks) Differentiate...

    Price: KES :  100

  • KCSE 2016 Questions and Answers

    This document contains KCSE 2016 questions and answers for almost all subjects such as Mathematics, English, Kiswahili, History and Government, Christian Religious Education, Geography, Home Science,...

    Price: KES :  99

  • Sample Biology Paper 2 Questions and Answers

    This document contains sample biology revision questions and answers. SAMPLE BIOLOGY PAPER 2 QUESTIONS AND ANSWERS. State the biological importance of photosynthesis. (2mks) New – born babies have...

    Price: KES :  120

  • KCSE Biology Revision Series: Questions and Answers

    KCSE Biology revision questions and answers. KCSE BIOLOGY REVISION SERIES BIOLOGY I PART I SECTION A. 1. Name the process by which the amoeba removes the indigestible material 2mks 2. Name...

    Price: KES :  99

  • Form Four C.R.E Paper 1 and Paper 2 Questions and Answers

    Well simplified C.R.E questions,paper one and two with answers that run from form one to form four.This will help the candidate to prepare for his/her K.C.S.E exams and pass with ease,the notes are...

    Price: KES :  150

  • Form Four English Questions and Answers

    Well simplified English questions with answers that run from form one to form four.This will help the candidate to prepare for his/her K.C.S.E exams and pass with ease,the notes are accurate without...

    Price: KES :  150

  • Form Four History Questions and Answers

    Well simplified History questions with answers that run from form one to form four.This will help the candidate to prepare for his/her K.C.S.E exams and pass with ease,the notes are accurate without...

    Price: KES :  200

  • Form 1 Biology End Year Sample Question Paper

    The exam contains questions of Biology. The exam is comprehensive testing how form one students have captured the biological concepts. SECONDARY SCHOOL END OF YEAR 2017 EXAM BIOLOGY FORM...

    Price: KES :  50

  • The Pearl Summary

    The pearl teacher summary. Brief Overview: The Pearl: An Overview The Pearl is a novella by American author John Steinbeck, first published in 1947. It is the story of a pearl diver, Kino, and...

    Price: KES :  360

  • Solvay Process Questions and Answers

    Questions and explained answers on solvay process chemistry form 2. QUESTION AND ANSWER SOLVAY PROCESS 1.the flow chart below is for the manufacture of sodium carbonate by the solvay process .use...

    Price: KES :  50

  • MKTG 218: Principle of Marketing Questions and Answers

    Marketing research and its process, factors to consider when choosing brand name,distribution strategy, how to price new product. Brief Overview: Define marketing research and explain marketing...

    Price: KES :  50

  • 2018 KCPE Timetable and Instructions

    The 2018 KCPE Timetable and Instructions. THE KENYA NATIONAL EXAMINATIONS COUNCIL THE 2018 KCPE EXAMINATION TIMETABLE & INSTRUCTIONS KNEC/TD/SE/KCPE/TT/18/006 1.0 TIMINGS OF PAPERS IN THE 2018...

    Price: KES :  0

  • ALT 102: Introduction to East African Literature - A Research on Legends

    This is specifically tested during cat 2 Examination in Kenyatta University. It aims to help students with the best knowledge analysis of tackling legend questions. ALT 102: Introduction to East...

    Price: KES :  100

  • Discuss the characteristics and functions of oral Narratives and songs

    Characteristics and functions of oral narratives and songs Oral narratives is a form (genre) of oral literature. It prefers to a prose account of people, events and places, which maybe factual or...

    Price: KES :  100

  • Molecular and Empirical Formula: Questions and Answers on Mole

    Questions and explained detailed formulas to arrive on answers in empirical and molecular formula under the unit mole. QUESTIONS AND ANSWERS ON MOLECULAR FORMULAR AND EMPRICAL FORMULAR 1.Analysis...

    Price: KES :  50

  • Form 4 Mathematics Longitudes and Latitudes Questions and Answers

    Questions, formulas and calculations to arrive on answers in longitudes and latitudes unit form 4 mathematics. Brief Overview: 1. A, B and D are three points on the earth’s surface .A...

    Price: KES :  50

  • BIT 2102 Fundamentals of Internet CAT 2 VIRTUAL With Answers

    This document contains questions and answers for BIT2102 Fundamentals of internet CAT 2 VIRTUAL (1) for Mt. Kenya University. ..............

    Price: KES :  200


View all resources  

What Our Users Say