Trusted since 2008
Chat on WhatsApp

Business Studies Revision Kit: Questions and Answers

KES 200
Secure M-PESA Paybill • Instant digital delivery
View all Notes.
7101 Views
24 Purchases

Summary

Business Studies Revision Kit With Questions and Answers.
TOPICS COVERED
PAGE
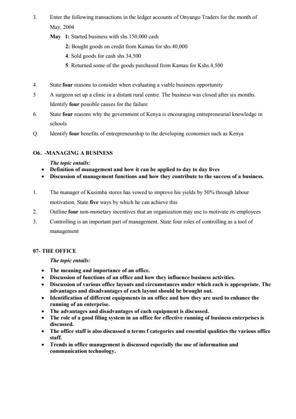
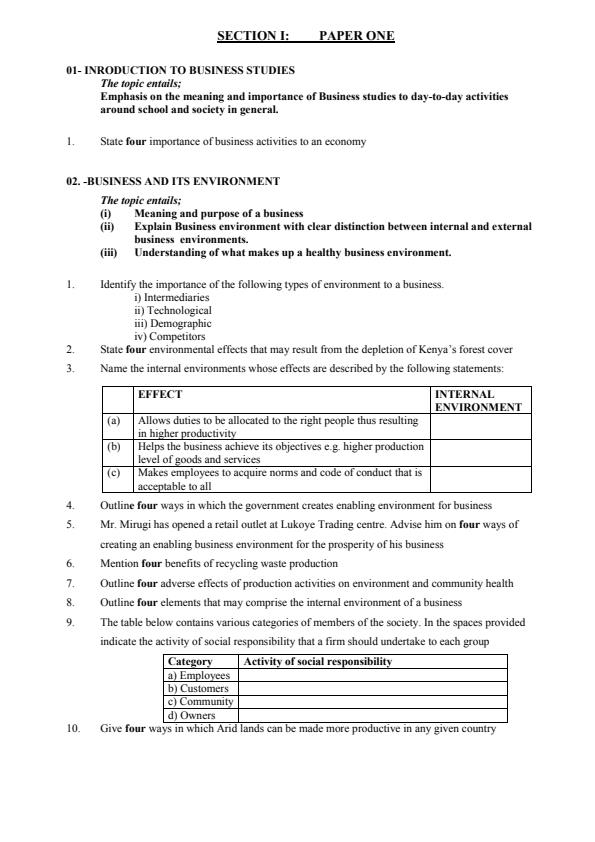
1. Introduction to Business Studies……………………………………………… 3
2. Business and it environment……………………………………………………3
3. Satisfaction of human wants…………………………………………..………. 4
4. Production………………………………………………………………………4
5. Entrepreneurship……………………………………………………………… 5
6. Managing a business……………………………………………………………6
7. The office………………………………………………..………………………6
8. Home trade………………………………………………..……………………..7
9. Forms of Business units………………………………………………………...10
10. Government and business……………………………………………………….10
11. Transport ………………………………………………………………………..11
12. Communication………………………………………………..………………..11
13. Warehousing………………………………………………..……………………12
14. Insurance………………………………………………..………………………13
15. Product promotion………………………………………………..……………..14
16. Demand and supply……………………………………………………………..14
17. The theory of the firm………………………………………………..…………15
18. Product markets……………………………………………….…………….…. 16
19. Chain of distribution………………………………………………………….... 17
20. National income……………………………………………………………….. 18
21. Population and employment…………………………………………………… 18
22. Determining the network of a business…………………………………………19
23. Business transactions…………………………………………………………... 20
24. The ledger………………………………………………………………………..23
25. The cash book…………………………………………………………..………..24
26. Source document and books of original entry……………………………..…….27
27. Financial statement ………………………………………………..……………28
28. Incomplete records………………………………………………..………….….30
29. Money and banking………………………………………………..……………31
30. Public finance………………………………………………..…………….……32
31. Inflation…………………………………………………………………………33
32. International trade………………………………………………………………..33
33. Economic development and planning ………………………………………..…34
...................

You’re viewing a preview. Buy now to unlock the full document and download instantly after M-PESA payment.

  • Page 1 – Business Studies Revision Kit: Questions and Answers – Kenyaplex
  • Page 2 – Business Studies Revision Kit: Questions and Answers – Kenyaplex
  • Page 3 – Business Studies Revision Kit: Questions and Answers – Kenyaplex
  • Page 4 – Business Studies Revision Kit: Questions and Answers – Kenyaplex
........

This is the end of this document preview. Buy to download the complete document.

Recommended Resources

More Resources


  • Grade 4 French Assessment Test End Term 2 2022

    Grade 4 End of Term 2 2022 assessment Test covering Grade 4 content taught in Term 1 and 2. Suitable for the learners in Grade 4.Learners in grade 5 and 6 can also use the test for revision.

    Price: KES :  100

  • Grade 5 French Assessment Test End Term 2 2022

    Grade 5 assessment test at the end of term 2 2022. It covers the content taught in Grade 4 and part of Grade 5 work. It is suitable for learners learning French in Grade 5. Also suitable for...

    Price: KES :  100

  • Grade 6 Sample French Assessment Test End Term 2 2022

    Grade 6 assessment test for end term 2 2022. It covers all the content learnt in Grade 4,5 and part of Grade 6. Suitable for learners in Grade 6.

    Price: KES :  100

  • 2024 Grade 6 Physical and Health Education Lesson Notes Term 2

    Get high quality Grade 6 Physical Health Education Lesson Notes Term 2 . Available in Ms word format. GRADE 6 PHYSICAL AND HEALTH EDUCATION NOTES NETBALL Facility - NETBALL is a non-contact...

    Price: KES :  100

  • Grade 7 Visual Arts Notes Term 2

    Download detailed Grade 7 term 2 Visual Arts notes with illustrations and relevant pictures.

    Price: KES :  150

  • Critically expose Jonathan Swift’s ‘Gulliver’s Travels’ to Post modernism study: LIT 410

    Critically expose Jonathan Swift;s "Gullivers Travels" to a post modernism approach. - The paper gives an insight to how you can evaluate the above mentioned text using a post modernism approach. -...

    Price: KES :  100

  • Business Studies: Forms of Business Units Notes

    Short notes on Business Studies: Forms of Business Units ............

    Price: KES :  47

  • Physics Notes on Heat Energy

    A clear summary of heat energy topic taught in high school. Heat Energy Notes.

    Price: KES :  29

  • AEC 418 Project Appraisal and Evaluation - Project Appraisal Case Studies

    This is a well highlighted and well explained topic about project appraisal case studies. It has the following sub topics: (i) Transport networks (ii) Project identification (iii) Feasibility and...

    Price: KES :  100

  • Second Year Human Resource Management Notes

    These notes help build adequate understanding concerning the human resource management in an organization including its environment, both micro and macro explained in detail.

    Price: KES :  300

  • Management Information System Notes for 2nd Year

    I have prepared my notes after research and i think they have the content needed in this unit.They are 15 pages in number and they cover the major parts of the unit.The best way to proof them is by...

    Price: KES :  350

  • Computer Studies Notes

    Introduction to computer studies notes. Brief Overview: Definition of a Computer: - A Computer is an electronic device that operates (works) under the control of programs stored in its own...

    Price: KES :  200

  • CCP 4I6: Security Design and Formulation Notes

    CCP 4I6: Security Design and Formulation Notes Brief Overview: 2 Introduction Physical security is defined as: Physical measurers, policies, and procedures to protect an organizations systems,...

    Price: KES :  300

  • UCU 104: Introduction to Entrepreneurship Notes

    This is a summarized class notes document for the entire unit. The notes include some practice exercises that can speculate how the continuous assessment and final exams look like. Brief...

    Price: KES :  1200

  • Medical Physiology Notes

    These notes include the definition of protozoa, the relationships between the protozoa and the host, the reproduction of protozoa and taxonomy of protozoa.

    Price: KES :  300

  • Kenya Methodist University Diploma in Pharmaceutical Technology Pharmacology Notes

    The notes define various terms used in Pharmacology and various modes of administration of drugs. They also state the various forms of drugs, definition of bioavailability of drugs and the factors...

    Price: KES :  250

  • KCSE 2016 Agriculture Paper 1 Questions and Answers

    Agriculture Kcse 2016 Paper 1 questions and answer. This is good revision material for the candidates. Brief Overview: No.1.List four factors that would determine the stage at which a crop is...

    Price: KES :  30

  • Geography Form 2 article on Batholiths

    This is an easy to read article on Batholiths that is comprehensive but enjoyable. It simplifies the description of batholiths. The objective is to make the topic less abstract.

    Price: KES :  50

  • Evidence Law Notes CLS 202

    The notes are structured in a systematic way according to the council of legal education requirement for the core law subject Evidence law. Case laws, statutes and the constitution are provided in...

    Price: KES :  950

  • Physical education notes for PTE 1st years and 2nd years

    Looking for Primary Teacher Education (PTE) notes for physical education 1st year and 2nd year? You can find them here. These notes helps the tutor in lecturing and the student teacher in revisions...

    Price: KES :  200

  • Solved Questions for Macroeconomics

    Solved questions and answers for macroenomics. High quality questions with answers. Brief Overview: Chapter 3, Question 1 (Evolution of the household) Determine whether each of the following...

    Price: KES :  259

  • Education Notes for Primary Teacher Education (PTE)

    These notes may be used by tutors in lecturing and student teacher in revision. This document summaries the main content of the new syllabus for teachers’ colleges. Besides samples examination...

    Price: KES :  200

  • English Methodology Notes for Primary Teacher Education (PTE)

    English Methodology Notes for Primary Teacher Education (PTE). These notes may be used by student teacher in revision.. Brief Overview: Definition of Language Language as a word is based on the...

    Price: KES :  200

  • Kiswahili Ushairi Notes

    Best Ushairi Kiswahili notes. It is in point form to help both the teacher and the student in Ushairi. Brief Overview: Kitengo Ushairi Mashairi yanaweza kugawanywa katika aina mbalimbali...

    Price: KES :  100

  • Kiswahili Notes for Teachers and Students

    This document contains Kiswahili notes which may be used by the teacher in teaching and the student in revision. Brief Overview: STADI ZA LUGHA Katika Kiswahili kuna sauti mbili ambazo...

    Price: KES :  200

  • Detailed Oral literature Notes and Model Questions

    Oral literature is one of the are as tested in Literature in English of the Kenya Certificate of Secondary Education Examinations. The other are as in this paper include The Novel, Drama, Poetry and...

    Price: KES :  100

  • Biology Form Four Notes on Evolution

    FORM FOUR BIOLOGY CLASS NOTES TOPIC: EVOLUTION Topic objectives At the end of this topic, the learner should be able to: I)Define the term Evolution II) Describe the origin of life III) Describe...

    Price: KES :  50

  • Biology Form Two Notes: Excretion and Homeostasis

    FORM TWO BIOLOGY NOTES. TOPIC: EXCRETION AND HOMEOSTATIS Objective: At the end of this topic, the learner should be able to; i) Distinguish between excretion and homeostasis ii) Explain various...

    Price: KES :  120

  • Microsoft Access Notes

    This document contains 14 pages of Microsoft Access Notes. They are high quality, detailed and ready for use. Brief Overview: DATABASE MANAGEMENT SYSTEMS These are software that allow records...

    Price: KES :  100

  • Operating Systems Questions and Answers

    UNIT I 1. What is an Operating system? An operating system is a program that manages the computer hardware. It also provides a basis for application programs and act as an intermediary between a...

    Price: KES :  360

More Content By Alber


  • Kiswahili KCSE Topical Questions and Answers

    Kiswahili KCSE Topical Questions and Answers YALIYOMO 1.11 Matamshi, shada (mkazo katika neno), mtamko, semi, tanakali za sauti, msamiati (kutokana na maongezi), 1.12 Mazungumzo 1.13 Fasihi...

    Price: KES :  100

  • Fasihi Simulizi Notes

    Hadithi Aina za Hadithi Kuna vipera kadhaa vya ngano katika fasihi simulizi kulingana na wahusika au dhamira yake: o Visaviini o Visasili o Hekaya o Khurafa o Mighani/Usuli/Visakale o Hadithi...

    Price: KES :  100

  • Aina na Bahari za Mashairi

    USHAIRI YALIYOMO Aina za Mashairi Kuna aina nyingi za mashairi. Majina ya aina hizi hulingana na idadi ya mishororo katika kila ubeti. Mfano: · Umoja/tathmina - ni shairi lenye mshororo mmoja...

    Price: KES :  100

  • Form 2 Biology Questions and Answers

    This document contains Biology Questions and Answers Form 2 Brief Overview: a) i) Define transport • Movement of substances from one part of the body to another ii) Explain the necessity of...

    Price: KES :  150

  • Kiswahili Revision Booklet With Questions and Answers (Ufahamu, Ufupisho, Matumizi ya Lugha na Isimu Jamii)

    Kiswahili Revision Booklet, Question and Answers.(Ufahamu, Ufupisho, Matumizi ya lugha na Isimu Jamii). Brief Overview: Soma kifungu kifuatacho halafu ujibu maswali uliyoulizwa Tsunami,...

    Price: KES :  150

  • History and Government Revision Kit With Questions and Answers

    History and Government Revision Kit. This document contains detailed and exam standard questions and answers. Suitable for those preparing for examinations as well as for general...

    Price: KES :  100

  • Commercial Law Notes (CPA PART I CPA SECTION 1 CCP SECTION 1 CS SECTION 1)

    TOPIC 1 INTRODUCTION TO LAW NATURE PURPOSE AND CLASSIFICATION OF LAW MEANING OF LAW, NATURE AND PURPOSE OF LAW MEANING OF LAW Law, simply put, refers to the set of rules which guide our conduct in...

    Price: KES :  300

  • Kiswahili Fasaha Kidato cha Nne Maazimio ya Kazi Muhula wa Pili

    Access Kiswahili Fasaha Kidato cha Nne Muhula wa Pili Maazimio ya Kazi instantly upon purchase! Receive it via WhatsApp, email, or direct download. The document is fully editable and can be easily...

    Price: KES :  90

View all resources  

What Our Users Say