Trusted since 2008
Chat on WhatsApp

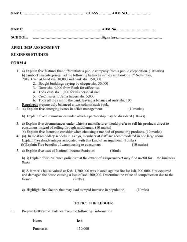
Form 4 Business Studies April 2025 Holiday Assignment

KES 30
Secure M-PESA Paybill • Instant digital delivery
914 Views
3 Purchases

Summary

Prepare for your Form 4 Business Studies April 2025 Holiday Assignment with this comprehensive guide. Get ahead in your studies and excel in Business Studies this holiday season.

You’re viewing a preview. Buy now to unlock the full document and download instantly after M-PESA payment.

  • Page 1 – Form 4 Business Studies April 2025 Holiday Assignment – Kenyaplex
........

This is the end of this document preview. Buy to download the complete document.

Recommended Resources

More Resources


  • Form 4 Holiday Assignment 2022

    HOLIDAY ASSIGNMENTS 2022 The document contains standard questions of the following subjects: 1. Mathematics pp1 and pp2 2. Computer studies pp1 and pp2 3. English pp1,pp2 and pp3 4. Geography...

    Price: KES :  100

  • Form 4 Mathematics April 2024 Holiday Assignment

    Get your Form 4 Mathematics April 2024 Holiday Assignment instantly via WhatsApp, email, or direct download upon purchase. Perfect for students seeking extra practice and challenges.

    Price: KES :  30

  • Form 4 Kiswahili April 2024 Holiday Assignment

    Access the Form 4 Kiswahili April 2024 Holiday Assignment instantly upon purchase. Receive it via WhatsApp, email, or direct download. Perfect for students requiring additional practice during the...

    Price: KES :  30

  • Form 4 History April 2024 Holiday Assignment

    Get your Form 4 History April 2024 Holiday Assignment instantly! Purchase now for immediate delivery via WhatsApp, email, or direct download. Perfect for students looking to excel in their history...

    Price: KES :  30

  • Form 4 Geography April 2024 Holiday Assignment

    Get your Form 4 Geography April 2024 Holiday Assignment instantly! Purchase now for immediate delivery via WhatsApp, email, or direct download. Perfect for students looking to enhance their geography...

    Price: KES :  30

  • Form 4 English April 2024 Holiday Assignment

    Get your Form 4 English April 2024 Holiday Assignment instantly delivered via WhatsApp, email, or direct download upon purchase. Ideal for teachers seeking valuable teaching resources and students...

    Price: KES :  30

  • Form 4 CRE April 2024 Holiday Assignment

    Get your Form 4 CRE April 2024 Holiday Assignment now! Instant delivery via WhatsApp, email, or download. Perfect for students to excel in their studies.

    Price: KES :  30

  • Form 4 Computer Studies April 2024 Holiday Assignment

    Get ready for the Form 4 Computer Studies April 2024 Holiday Assignment. Instant delivery via WhatsApp, email, or direct download. Perfect for students looking to excel in their studies.

    Price: KES :  30

  • Form 4 Chemistry April 2024 Holiday Assignments

    Get your Form 4 Chemistry April 2024 Holiday Assignments instantly upon purchase! Receive via WhatsApp, email, or direct download. Perfect for students revising during the break.

    Price: KES :  30

  • Form 4 Business Studies April 2024 Holiday Assignment

    Improve your business studies with Form 4 assignments for April 2024 holiday. Instant delivery via WhatsApp, email, or direct download upon purchase. Perfect for students looking to excel.

    Price: KES :  30

  • Form 4 Biology April 2024 Holiday Assignment

    Get the Form 4 Biology April 2024 Holiday Assignment instantly upon purchase! Receive it via WhatsApp, email, or direct download. Perfect for students looking for a resource to enhance their biology...

    Price: KES :  30

  • Form 4 Agriculture April 2024 Holiday Assignment

    Get your Form 4 Agriculture April 2024 Holiday Assignment instantly upon purchase! Receive it via WhatsApp, email, or direct download. Perfect for students looking for comprehensive study material.

    Price: KES :  30

  • Form 4 Agriculture August Holiday Assignment 2024

    Get the Form 4 Agriculture August Holiday Assignment 2024. Perfect for students looking to excel in their studies over the break.

    Price: KES :  30

  • Form 4 Biology August 2024 Holiday Assignment

    Get ready for the Form 4 Biology August Holiday Assignment 2024. Prepare for your Biology assignment this August with our comprehensive resources. Suitable for students studying Biology.

    Price: KES :  30

  • Form 4 Business Studies August 2024 Holiday Assignment

    Enhance your Business Studies skills with the Form 4 August Holiday Assignment 2024. Access engaging content designed for students to excel in their studies during the break.

    Price: KES :  30

  • Form 4 Chemistry August 2024 Holiday Assignment

    Download Form 4 Chemistry August Holiday Assignment 2024. Boost your chemistry skills this holiday season with our assignments designed for students. Master key concepts and excel in your studies.

    Price: KES :  30

  • Form 4 CRE August 2024 Holiday Assignment

    Get ready for your Form 4 CRE August Holiday Assignment 2024. Access engaging content designed for students to excel in their studies. Elevate your learning experience with our high quality content.

    Price: KES :  30

  • Form 4 English August 2024 Holiday Assignment

    Find the Form 4 English August Holiday Assignment 2024 here. Engaging English tasks for students to enhance skills and boost academic performance during the break.

    Price: KES :  30

  • Form 4 Geography August 2024 Holiday Assignment

    Prepare for your Form 4 Geography August 2024 Holiday Assignment with our comprehensive resources. Get ready for a productive break! GEOGRAPHY FORM FOUR AUGUST 2024 HOLIDAY ASSIGNMENT 1. a) State...

    Price: KES :  30

  • Form 4 History and Government August 2024 Holiday Assignment

    Enhance your knowledge with the Form 4 History and Government August Holiday Assignment 2024. Engage in insightful tasks to deepen your understanding during the break. Ideal for students seeking to...

    Price: KES :  30

  • Form 4 Kiswahili August 2024 Holiday Assignment

    Find the Form 4 Kiswahili August Holiday Assignment 2024 here. Access the assignment to enhance your studies during the holiday break.

    Price: KES :  30

  • Form 4 Mathematics Paper 2 August 2024 Holiday Assignment

    Get ahead with the Form 4 Mathematics August Holiday Assignment 2024. Engaging tasks to boost your math skills during the holiday break.

    Price: KES :  30

  • Form 4 Physics August 2024 Holiday Assignment

    Access Form 4 Physics August Holiday Assignment 2024. Level up your Physics skills during the break with this comprehensive assignment designed for students.

    Price: KES :  30

  • Form 4 Agriculture April 2025 Holiday Assignment

    Looking for the Form 4 Agriculture April 2025 Holiday Assignment? Find all you need for this academic task here. Get a head start on your studies with our comprehensive resources.

    Price: KES :  30

  • Form 4 Biology April 2025 Holiday Assignment

    Prepare for your Form 4 Biology April 2025 holiday assignment with our comprehensive resources. Ideal for students seeking to excel in Biology.

    Price: KES :  30

  • Form 4 Business Studies April 2025 Holiday Assignment

    Prepare for your Form 4 Business Studies April 2025 Holiday Assignment with this comprehensive guide. Get ahead in your studies and excel in Business Studies this holiday season.

    Price: KES :  30

  • Form 4 Chemistry April 2025 Holiday Assignment

    Prepare for your Form 4 Chemistry April 2025 Holiday Assignment with engaging and informative content tailored for students. Get a head start on your studies and succeed in Chemistry this holiday...

    Price: KES :  30

  • Form 4 Computer Studies April 2025 Holiday Assignment

    Prepare for your Form 4 Computer Studies April 2025 holiday assignment with this comprehensive guide. Boost your understanding and excel in your studies.

    Price: KES :  30

  • Form 4 CRE April 2025 Holiday Assignment

    Get a head start on your Form 4 CRE studies with the April 2025 holiday assignment. Perfect for students looking to stay ahead during the break.

    Price: KES :  30

  • Form 4 English April 2025 Holiday Assignment

    Looking for Form 4 English April 2025 Holiday Assignment? Get ready for engaging English activities perfect for students during the holiday break. Elevate your English skills and have fun with our...

    Price: KES :  30

More Content By Kavungya


  • Form 4 Chemistry April 2025 Holiday Assignment

    Prepare for your Form 4 Chemistry April 2025 Holiday Assignment with engaging and informative content tailored for students. Get a head start on your studies and succeed in Chemistry this holiday...

    Price: KES :  30

  • Form 4 Computer Studies April 2025 Holiday Assignment

    Prepare for your Form 4 Computer Studies April 2025 holiday assignment with this comprehensive guide. Boost your understanding and excel in your studies.

    Price: KES :  30

  • Form 4 CRE April 2025 Holiday Assignment

    Get a head start on your Form 4 CRE studies with the April 2025 holiday assignment. Perfect for students looking to stay ahead during the break.

    Price: KES :  30

  • Form 4 English April 2025 Holiday Assignment

    Looking for Form 4 English April 2025 Holiday Assignment? Get ready for engaging English activities perfect for students during the holiday break. Elevate your English skills and have fun with our...

    Price: KES :  30

  • Form 4 Geography April 2025 Holiday Assignment

    Get ahead with your Form 4 Geography April 2025 Holiday Assignment. Prepare for success and boost your grades with our comprehensive resources. Perfect for students looking to excel in their geography...

    Price: KES :  30

  • Form 4 History and Government April 2025 Holiday Assignment

    Prepare for Form 4 History and Government April 2025 Holiday Assignment with engaging content tailored for students. Get ahead on your studies with this academic resource.

    Price: KES :  30

  • Form 4 Kiswahili April 2025 Holiday Assignment

    Get the latest Form 4 Kiswahili April 2025 Holiday Assignment designed for students. Access and complete the assignment to enhance your Kiswahili skills during the holiday break.

    Price: KES :  30

  • Form 4 Mathematics April 2025 Holiday Assignment

    Get ahead with Form 4 Mathematics April 2025 holiday assignment. Strengthen your skills and excel in math this school break with our engaging tasks and exercises tailored for students.

    Price: KES :  30

  • Form 4 Physics April 2025 Holiday Assignment

    Prepare for your Form 4 Physics April 2025 holiday assignment with comprehensive resources and guidance. Perfect for students looking to excel in their physics studies during the holiday break.

    Price: KES :  30

  • Play Group April 2025 Holiday Assignments - Set

    Discover the April 2025 holiday assignments for Play Group students. Get ready for a fun and engaging learning experience with this set of assignments.

    Price: KES :  150

  • PP1 April 2025 Holiday Assignments - Set

    PP1 April 2025 holiday assignments set for students to complete during the break. Get ready for an engaging and educational learning experience. - Creative Activities - Environmental Activities -...

    Price: KES :  200

  • PP2 April 2025 Holiday Assignments - Set

    Prepare for the April 2025 holiday assignments with the PP2 set. Ideal for students seeking engaging tasks during the break.

    Price: KES :  200

  • Grade 1 April 2025 Holiday Assignments - Set

    Discover the Grade 1 April 2025 Holiday Assignments - Set for students to enjoy during the break. Perfect for engaging and educational activities.

    Price: KES :  200

  • Grade 2 April 2025 Holiday Assignments - Set

    Grade 2 April 2025 Holiday Assignments Set - Provide your students with engaging tasks to keep them learning during their break. Helpful resources for teachers available.

    Price: KES :  200

  • Grade 4 April 2025 Holiday Assignments - Set

    Grade 4 students can access their April 2025 holiday assignments now. Stay ahead with this set of engaging tasks designed to keep young learners motivated and learning during the break.

    Price: KES :  200

  • Grade 5 April 2025 Holiday Assignments - Set

    Elevate your learning with Grade 5 April 2025 Holiday Assignments Set. Engaging activities to keep students learning and growing during the break. Access now!

    Price: KES :  200

  • Grade 6 April 2025 Holiday Assignments - Set

    Discover the Grade 6 April 2025 holiday assignments set. Engaging tasks to keep students active during the break. Perfect for teachers seeking creative ideas for student assignments.

    Price: KES :  200

  • Grade 7 April 2025 Holiday Assignments - Set

    Access Grade 7 April 2025 Holiday Assignments Set online now. Provide engaging tasks for students during the break. Perfect for teachers seeking new activities.

    Price: KES :  200

  • Grade 8 April 2025 Holiday Assignments - Set

    Prepare for Grade 8 April 2025 Holiday Assignments with this set of engaging tasks. Ideal for students seeking to enhance their skills during the break.

    Price: KES :  200

  • PP1 Schemes of Work for All Subjects Term 2 (Bundle)

    Discover PP1 Term 2 Schemes of Work for All Subjects Term 2 in this comprehensive bundle. Ideal for teachers seeking structured curriculum guides and activities for the term. Perfect for planning...

    Price: KES :  350

View all resources  

What Our Users Say