Trusted since 2008
Chat on WhatsApp

New Revised Equations Questions and Answers

KES 50
Secure M-PESA Paybill • Instant digital delivery
View all Notes.
892 Views
0 Purchases

Summary

2020 New Revised Equations perfect for revision especially for the candidates. This work is prepared in accordance with the examination settling of the KNEC and considering the syllabus content

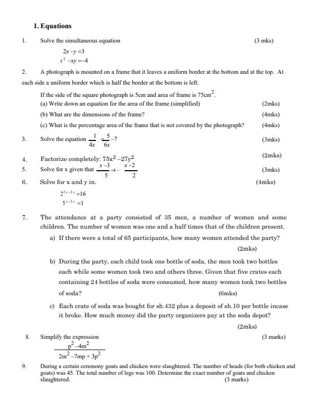
1. Equations
1. Solve the simultaneous equation (3 mks)
2x ?y ?3
x
2
?xy ??4
2. A photograph is mounted on a frame that it leaves a uniform border at the bottom and at the top. At each side a uniform border which is half the border at the bottom is left. If the side of the square photograph is 5cm and area of frame is 75cm2.
(a) Write down an equation for the area of the frame (simplified) (2mks)
(b) What are the dimensions of the frame? (4mks)
(c) What is the percentage area of the frame that is not covered by the photograph? (4mks)

You’re viewing a preview. Buy now to unlock the full document and download instantly after M-PESA payment.

  • Page 1 – New Revised Equations Questions and Answers – Kenyaplex
  • Page 2 – New Revised Equations Questions and Answers – Kenyaplex
........

This is the end of this document preview. Buy to download the complete document.

Recommended Resources

More Resources


  • Grade 4 French Assessment Test End Term 2 2022

    Grade 4 End of Term 2 2022 assessment Test covering Grade 4 content taught in Term 1 and 2. Suitable for the learners in Grade 4.Learners in grade 5 and 6 can also use the test for revision.

    Price: KES :  100

  • Grade 5 French Assessment Test End Term 2 2022

    Grade 5 assessment test at the end of term 2 2022. It covers the content taught in Grade 4 and part of Grade 5 work. It is suitable for learners learning French in Grade 5. Also suitable for...

    Price: KES :  100

  • Grade 6 Sample French Assessment Test End Term 2 2022

    Grade 6 assessment test for end term 2 2022. It covers all the content learnt in Grade 4,5 and part of Grade 6. Suitable for learners in Grade 6.

    Price: KES :  100

  • 2024 Grade 6 Physical and Health Education Lesson Notes Term 2

    Get high quality Grade 6 Physical Health Education Lesson Notes Term 2 . Available in Ms word format. GRADE 6 PHYSICAL AND HEALTH EDUCATION NOTES NETBALL Facility - NETBALL is a non-contact...

    Price: KES :  100

  • Grade 7 Visual Arts Notes Term 2

    Download detailed Grade 7 term 2 Visual Arts notes with illustrations and relevant pictures.

    Price: KES :  150

  • Critically expose Jonathan Swift’s ‘Gulliver’s Travels’ to Post modernism study: LIT 410

    Critically expose Jonathan Swift;s "Gullivers Travels" to a post modernism approach. - The paper gives an insight to how you can evaluate the above mentioned text using a post modernism approach. -...

    Price: KES :  100

  • Business Studies: Forms of Business Units Notes

    Short notes on Business Studies: Forms of Business Units ............

    Price: KES :  47

  • Physics Notes on Heat Energy

    A clear summary of heat energy topic taught in high school. Heat Energy Notes.

    Price: KES :  29

  • AEC 418 Project Appraisal and Evaluation - Project Appraisal Case Studies

    This is a well highlighted and well explained topic about project appraisal case studies. It has the following sub topics: (i) Transport networks (ii) Project identification (iii) Feasibility and...

    Price: KES :  100

  • Second Year Human Resource Management Notes

    These notes help build adequate understanding concerning the human resource management in an organization including its environment, both micro and macro explained in detail.

    Price: KES :  300

  • Management Information System Notes for 2nd Year

    I have prepared my notes after research and i think they have the content needed in this unit.They are 15 pages in number and they cover the major parts of the unit.The best way to proof them is by...

    Price: KES :  350

  • Computer Studies Notes

    Introduction to computer studies notes. Brief Overview: Definition of a Computer: - A Computer is an electronic device that operates (works) under the control of programs stored in its own...

    Price: KES :  200

  • CCP 4I6: Security Design and Formulation Notes

    CCP 4I6: Security Design and Formulation Notes Brief Overview: 2 Introduction Physical security is defined as: Physical measurers, policies, and procedures to protect an organizations systems,...

    Price: KES :  300

  • UCU 104: Introduction to Entrepreneurship Notes

    This is a summarized class notes document for the entire unit. The notes include some practice exercises that can speculate how the continuous assessment and final exams look like. Brief...

    Price: KES :  1200

  • Medical Physiology Notes

    These notes include the definition of protozoa, the relationships between the protozoa and the host, the reproduction of protozoa and taxonomy of protozoa.

    Price: KES :  300

  • Kenya Methodist University Diploma in Pharmaceutical Technology Pharmacology Notes

    The notes define various terms used in Pharmacology and various modes of administration of drugs. They also state the various forms of drugs, definition of bioavailability of drugs and the factors...

    Price: KES :  250

  • KCSE 2016 Agriculture Paper 1 Questions and Answers

    Agriculture Kcse 2016 Paper 1 questions and answer. This is good revision material for the candidates. Brief Overview: No.1.List four factors that would determine the stage at which a crop is...

    Price: KES :  30

  • Geography Form 2 article on Batholiths

    This is an easy to read article on Batholiths that is comprehensive but enjoyable. It simplifies the description of batholiths. The objective is to make the topic less abstract.

    Price: KES :  50

  • Evidence Law Notes CLS 202

    The notes are structured in a systematic way according to the council of legal education requirement for the core law subject Evidence law. Case laws, statutes and the constitution are provided in...

    Price: KES :  950

  • Physical education notes for PTE 1st years and 2nd years

    Looking for Primary Teacher Education (PTE) notes for physical education 1st year and 2nd year? You can find them here. These notes helps the tutor in lecturing and the student teacher in revisions...

    Price: KES :  200

  • Solved Questions for Macroeconomics

    Solved questions and answers for macroenomics. High quality questions with answers. Brief Overview: Chapter 3, Question 1 (Evolution of the household) Determine whether each of the following...

    Price: KES :  259

  • Education Notes for Primary Teacher Education (PTE)

    These notes may be used by tutors in lecturing and student teacher in revision. This document summaries the main content of the new syllabus for teachers’ colleges. Besides samples examination...

    Price: KES :  200

  • English Methodology Notes for Primary Teacher Education (PTE)

    English Methodology Notes for Primary Teacher Education (PTE). These notes may be used by student teacher in revision.. Brief Overview: Definition of Language Language as a word is based on the...

    Price: KES :  200

  • Kiswahili Ushairi Notes

    Best Ushairi Kiswahili notes. It is in point form to help both the teacher and the student in Ushairi. Brief Overview: Kitengo Ushairi Mashairi yanaweza kugawanywa katika aina mbalimbali...

    Price: KES :  100

  • Kiswahili Notes for Teachers and Students

    This document contains Kiswahili notes which may be used by the teacher in teaching and the student in revision. Brief Overview: STADI ZA LUGHA Katika Kiswahili kuna sauti mbili ambazo...

    Price: KES :  200

  • Detailed Oral literature Notes and Model Questions

    Oral literature is one of the are as tested in Literature in English of the Kenya Certificate of Secondary Education Examinations. The other are as in this paper include The Novel, Drama, Poetry and...

    Price: KES :  100

  • Biology Form Four Notes on Evolution

    FORM FOUR BIOLOGY CLASS NOTES TOPIC: EVOLUTION Topic objectives At the end of this topic, the learner should be able to: I)Define the term Evolution II) Describe the origin of life III) Describe...

    Price: KES :  50

  • Biology Form Two Notes: Excretion and Homeostasis

    FORM TWO BIOLOGY NOTES. TOPIC: EXCRETION AND HOMEOSTATIS Objective: At the end of this topic, the learner should be able to; i) Distinguish between excretion and homeostasis ii) Explain various...

    Price: KES :  120

  • Microsoft Access Notes

    This document contains 14 pages of Microsoft Access Notes. They are high quality, detailed and ready for use. Brief Overview: DATABASE MANAGEMENT SYSTEMS These are software that allow records...

    Price: KES :  100

  • Operating Systems Questions and Answers

    UNIT I 1. What is an Operating system? An operating system is a program that manages the computer hardware. It also provides a basis for application programs and act as an intermediary between a...

    Price: KES :  360

More Content By mikeGreen


  • KCPE 2020 Model Revision Exam Papers With Answers

    Download latest 2020 revision questions for kcpe. The document contains all primary schools subjects with answers at the end of the questions. This is well analyzed to cater for the full syllabus...

    Price: KES :  80

  • Microsoft Word Basics Tools and Formatting

    Download new 2020 basic editing and formatting tools for Microsoft word. The work has been prepared using the latest tools available on Word 2019 new update. As a writer in any level this is the best...

    Price: KES :  90

  • Farm tractor notes

    Download detailed notes on farm tractor. The work describes every part in details and provides pictures where necessary. FARM TRACTOR Tractor is a self-propelled power unit having wheels or...

    Price: KES :  70

  • Sample Biology Paper 2 Essay revision questions and Answers

    Download 2020 biology paper 2 essays revision questions with answers. The paper contains questions set based on the KCSE examination trends and frequent topics. 1. Explain how the various...

    Price: KES :  70

  • Form 2 Biology: Gaseous Exchange

    Download newly updated notes for form 2 biology, gaseous exchange. The notes are made from newly approved books and other materials by KICD and prepared by professionals. GASEOUS EXCHANGE ? This...

    Price: KES :  70

  • New From 2 Biology:Respiration Notes

    Download new updated notes for form 2 biology, respiration from the new books approved by KICD. RESPIRATION ? It is the process by which food substances are chemically broken down in all living...

    Price: KES :  60

  • Form 2 Biology Notes on Transport in Plants and Animals

    Download latest 2020 notes for biology, Transport in plants and animals form 2 work. This work has been prepared based on the approved books and other learning materials by KICD and the ministry of...

    Price: KES :  70

  • Geography Paper 1 Revision Questions and Answers

    Download 2020 well analyzed geography questions with answers based on the continuity and trend in examination settings by KNEC and professional setters. This work is prepared and counter checked by...

    Price: KES :  50

  • Modern Computer Technologies and Their Applications in Genomic Science

    Download latest notes for Modern Computer Technologies and Their Applications in the field of Genomic Science. Due to increasing demand for bioinformatics these notes are prepared to equip you with...

    Price: KES :  100

  • Medical Epidemiology: Types of Epidemiological Studies Notes

    Download updated notes on medical Epidemiology, general notes and types of study discussed in details. The notes entail and cover the most outcome research conducted and proven for study. MEDICAL...

    Price: KES :  60

  • Epidemiology Notes on Sampling and Measurements of Disease Frequencies Notes

    Get the detailed notes on Epidemiology, covering from sampling to disease frequency measurements and all protocols involved in every study. Introduction Sampling is a familiar part of daily life....

    Price: KES :  60

  • Disease Causation and Determinants of Health and their Interactions Notes

    Download detailed notes on disease causation and determinants of health covering upto interaction of such determinants. DESEASE CAUSATION Concepts of Disease Occurrence A critical premise of...

    Price: KES :  50

View all resources  

What Our Users Say