-
Calculate all the values of x between -180° and +180° which satisfy the equation 6 cos (x − 30)° = −3.
Date posted:
November 12, 2019
-
The cost of a matatu was sh. 950 000.It depreciated in value by 5% per year for the first 2 years and 15% per for the subsequent years. Calculate the value of the matatu after 5 years.
Date posted:
November 12, 2019
-
Given that P varies directly as V and inversely as the cube root of R and that P = 12 when V = 3 and R = 2,
(i) Find an equation connecting P, V and R.
(ii) Find the percentage change in P if V is increased by 12% and R decreased by 36%
Date posted:
November 12, 2019
-
Use the method of completing the square to solve
4 − 9x − 3x2 = 0
Date posted:
November 12, 2019
-
Make h the subject of the formula.
Date posted:
November 12, 2019
-
The speed of projectile v m/s at a given time t is given by v=10(10t-t2) calculate
a. The time when the velocity is maximum
b. The maximum velocity attained
c. The distance traveled by the body in the first 6 seconds
d. The acceleration of the projectile at t=6.5sec
Date posted:
November 12, 2019
-
(a) Complete the table below for the function y = 2x2 + 3x – 5.
(b) On the grid provided draw the graph of y = 2x2 + 3x – 5 for -4 = x = 2
(c) Use your graph to state the roots of
(i) 2x2 + 3x – 5 = 0
(ii) 2x2 + 6x – 2 = 0
Date posted:
November 12, 2019
-
Four towns A, B, C and D are such that B is 84km direct to the north of A and C is on a bearing of N 65oW from A at a distance of 60km. D is on a bearing of 340o from C at a distance of 30km. Using a scale of 1 cm rep 10km
a) Make an accurate scale drawing showing the relative positions of the towns
b) Find the distance and bearing of B from C
c) Find the distance and bearing of D from B
d) Find the bearing of A from D
Date posted:
November 12, 2019
-
The figure above shows two circles ABPQ and ABSR intersecting at A and B. QART, PBS and ABU are straight lines. The line TSU is a tangent to the circle ABSR at S. Given that ˂BPQ = 80o, ˂PBU = 115o and ˂BUS = 70o.
Find & state reasons for the following angles
a) ˂BRS
b) ˂BSU
c) ˂STR
d) ˂BAR
e) ˂ARB
Date posted:
November 12, 2019
-
(a). The price of an article is marked as sh.12,000. Mr. Mulmulwas sold the article at a discount of 10% and still made a profit of 5%. Calculate the cost of the article.
(b). Mr. Mulmulwas made a loss of 30% by selling an electric kettle at sh.700. What profit would he have made if she had sold it at sh.1150?
(c). Mr. Mulmulwas is a real estate agent who is entitled to a commission on all properties bought through him. During a certain month he sold 2 mansions at sh. 2.54 million each, 4 flats at sh. 582,000 each and 5 bungalows at sh.354,000 each and he was paid a total commission of sh.458,900. Calculate the percentage rate of commission he was paid.
Date posted:
November 12, 2019
-
The angle of elevation of the top of a building from a point P is 45o. From another point T, 15 meters nearer the foot of the building, the angle of elevation of the top of the building is 52o. Calculate the height of the building.
Date posted:
November 12, 2019
-
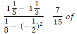
Using tables, find the reciprocal of 0.432 and hence evaluate
Date posted:
November 12, 2019
-
The figure below shows a solid wedge PQRSTU. Complete the solid showing all the hidden edges with dotted lines.
Date posted:
November 12, 2019
-
A Kenyan bank buys and sells foreign currency as shown in the table below.
A tourist arrived in Kenya with 15000 pounds which he converted into Ksh at a commission of 8%.
He later used half of the money before changing the balance into dollars at no commission. Calculate
to the nearest dollar the amount he received.
Date posted:
November 12, 2019
-
The sum of two numbers is 23 and their difference is 3. Find the sum of the squares of the two numbers.
Date posted:
November 12, 2019
-
The length of three wires are 36m, 48m and 72m. pieces of wire of equal lengths were cut from the three wires, calculate the least number of pieces obtained.
Date posted:
November 12, 2019
-
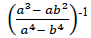
Calculate the value of
using factor notation.
Date posted:
November 12, 2019
-
(a) Using a ruler and a pair of compasses only. Construct triangle ABC in which AB = 5cm, BC = 4.5cm and BAC = 600
(b) On the same side of AB as C:
(i) Determine the locus of a point P such that ∠APB=600
(ii) Construct the locus R such that AR ˃ 2cm
(iii) Determine the region T such that ACT ≥ BCT
Date posted:
November 12, 2019
-
Two baskets X and Y contain identical balls except for the colors. Basket X contains 6 red balls and 3 black balls. Basket Y contains 2 red balls and 3 black balls.
(a) If a ball is drawn at random from each basket, find the probability that both balls are of the same color.
(b) If two balls are drawn at random from each basket, one ball at a time without replacement, find the probability that:-
(i) The two balls drawn from basket X or basket Y are red.
(ii) All the four balls drawn are red.
Date posted:
November 12, 2019
-
Mrs. Beth wants to buy a flat screen television set on hire purchase. The cash price is Kshs. 28,000. She can pay the cash price or make a down payment of Kshs. 8,000 and 15 monthly instalments of Kshs. 2,000 each. Calculate the rate of compound interest charged per month.
Date posted:
November 12, 2019
-
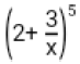
Make r the subject in the formula:
Date posted:
November 12, 2019
-
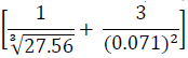
Use logarithm table to evaluate:
Date posted:
November 12, 2019
-
Points A,B,C and D are situated on a horizontal plane such that B is 200m on a bearing of 065° from
A.C is 300m on a bearing of 120° from B and D is 150m due west of C. Using 1cm to rep 50m,
(a) Draw an accurate scale drawing representing positions ABC and D.
(b) From your drawing, Measure the distance and bearing of
(i) D from A.
(ii) B from D
(c) By construction, show the shortest distance from B to line AD.
Date posted:
November 11, 2019
-
The figure below shows a sector of a circle. If the radius OA = 14cm and the angle AOB =720.
(a) Calculate the area of the sector.
(b) The sector is folded to form a cone. Calculate:-
(i) The radius of the cone formed.
(ii) The volume of the solid formed.
(c) A solid cone of same size in (b) above is melted down and casted into circular washers. Each washer
has an external diameter of 4cm, internal diameter of 1½ cm and 0.3cm thick. Calculate number of washers made.
Date posted:
November 11, 2019
-
A group of choir members decided to raise 3600/= to buy a guitar. Each member was to contribute equal amount. In the preparation process five members transferred to another church, that meant the remaining contributors had to pay more to achieve the target.
(a) Show that the increase in the contribution per member was:
Sh. 18,000/n(n-5) if n is the initial number of members.
(b) If the increase in the contribution per member was sh. 24, what was the original contribution before
the other members left?
(c) Calculate the percentage increase in the contribution before the others left.
Date posted:
November 11, 2019
-
The sum of interior angles of a regular polygon is 24 times the size of the exterior angle.
(a) Find the number of sides in the polygon.
(b) Name the polygon.
Date posted:
November 11, 2019
-
The travel timetable below shows the departure and arrival time for a bus plying between two towns M and R, 300 kilometres apart.
Calculate the average speed for the whole journey.
Date posted:
November 11, 2019
-
Income rates for income earned were charged as follows.
A civil servant earns a monthly salary of ksh.19, 200. His house allowance is ksh.12, 000 per month.
Other allowances per month are transport ksh.13, 000 and medical allowance ksh.2, 300. He is
entitled to a family relief of ksh.1, 240 per month. Determine
(a) (i) His taxable income per month
(ii) Net tax
(b) In addition, the following deductions were made.
NHIF sh.230
Service charge ksh.100
Loan repayment ksh.4, 000
Cooperative shares of ksh.1, 200
Calculate his net salary per month
Date posted:
November 11, 2019
-
The figure below shows a right pyramid standing on a rectangular base ABCD. AB = 8cm, BC = 15cm and each slant edge is 12 cm long M is the midpoint of BC.
Calculate to one decimal place
a) the vertical height of the pyramid
b) the volume of the pyramid
c) the angle between plane VBC and the base
d) the angle between line VA and the plane ABCD
Date posted:
November 11, 2019
-
Without using a protractor, construct line XY = 8cm
a) Construct the locus of all points R such that ∠𝑋𝑅𝑌 = 60°
b) Construct the locus of all points P such that the area of triangle XPY is 16 𝑐𝑚2.
c) Mark all the points where the locus of R intersects the locus of P with the letters A,B,C and D
Date posted:
November 11, 2019