-
An experiment was carried out to determine the effect of drinking on excess amount of water on the flow of urine. A person drinks one litre of water and urine was collected at intervals of 15 minutes.
The results were as shown below.
(a) Plot a suitable graph to represent urine output with time.
(b) Explain the rate of flow of urine between the following times;
(i) 15 and 60 minutes.
(ii) 60 and 75 minutes.
(iii) 75 and 135 minutes.
(c) Name two hormones responsible for regulation of relative amount of salts and water in man.
Date posted:
October 7, 2019
-
Study the diagram below and answer the questions that follow.
(a) Name the structure represented by the diagram
(b)
(i) Name the parts labelled D and M
(ii) Name the hormones whose sites of action are Q and G (c) Name one substance that is present in part N but absent in part Z
(d) The contents of part V were boiled with Benedicts’ solution and an orange precipitate was
formed. Account for the results
Date posted:
October 7, 2019
-
The diagram below represents a mammalian nephron.
(i) Name the structure labelled Q
(ii) State two adaptations of part labeled R
Date posted:
October 4, 2019
-
What role is played by the liver in excretion?
Date posted:
October 4, 2019
-
Explain the effects of the production of large amounts of Antidiuretic hormone in the human body
Date posted:
October 4, 2019
-
The apparatus below was used to investigate anaerobic respiration:-
a) How would you remove dissolved oxygen from the glucose before the experiment commencing?
(b) State what happens to the lime water as the experiment proceeds to the end
(c) Describe the reactions in the experiment
(d) Explain what would happen if the temperature of glucose solution and yeast was raised beyond 45 degrees C?
Date posted:
October 4, 2019
-
State two roles of adrenaline in man.
Date posted:
October 4, 2019
-
How does the sunkness of stomata help in minimizing the rate of transpiration in plants?
Date posted:
October 4, 2019
-
The apparatus below was set up by a student to find out the changes in gases during germination.
a) After 48 hours the level of water in the U-tube at A and B was as shown. Explain the
observation
b) Calculate the respiration quotient (RQ) from the equation below
c) Identify the substrate being respired in the above equation
Date posted:
October 4, 2019
-
With a reason, state a phase in respiration that yields more energy.
Date posted:
October 4, 2019
-
In an experiment to investigate a certain processes in a given plant species, the rate of carbon (IV) oxide consumed and released were measured over a period of time of the day. The results of the investigation are shown in the table below.
a) Name the biochemical processes represented by;
(i) Carbon (IV) oxide consumption
(ii) carbon (IV)oxide release
(b) Account for the shape of the curve for carbon (IV) oxide consumption between;
(i) 6-16 hours
(ii) 20-24 hours
(c) Account for carbon (IV) oxide released between 12-16 hours
(d) (i) What is compensation point?
(ii) From the graph state the time of the day when the plant attains compensation point
(e) Explain how high temperature above optimum affects the rate of carbon (IV) oxide
consumption in the plant.
Date posted:
October 4, 2019
-
How is the structure of mammalian gaseous exchange system adapted to its functions.
Date posted:
October 4, 2019
-
The diagram below represents a section of the human respiratory system.
(a) One can inhale through path A, or B. Giving reasons, state the more appropriate path.
(b) How is the part labbelled C adapted for its function?
(c) Explain the effect of regular tobacco smoking to the functioning on the organ labelled D
Date posted:
October 4, 2019
-
Briefly describe how stomata opens.
Date posted:
October 4, 2019
-
An athlete training to take part in an international competition moved to a high attitude area where he was to train for twelve days before the competition. He took his pulses per minute daily and tabulated them as shown below:-
a) Other than pulse rate, name one other process which was affected by change of altitude
b) Account for the change in pulse rate from:-
i) Day 1 to day 7
ii) Day 8 to day 12
c) Explain the advantage this athlete has over the one who trains in a lower altitude area
d) The equation below represents a reaction which takes place during rapid muscular movements in humans.
i) State two effects of this reaction to an individual
ii) How is lactic acid finally eliminated from the muscle tissues of the human after the muscle
Date posted:
October 4, 2019
-
The diagram below represents an organ from a bony fish. Study the diagram and answer the questions that follow:
(a) State the functions of each of the following named parts on the diagram.
(b) How is the structure labeled C adapted to its function?
Date posted:
October 4, 2019
-
The set up below represents an experiment to investigate the process of photosynthesis.
The set up placed in sunlight for six hours.
(a) Why was sodium hydrogen carbonate added to water in this experiment?
(b) Explain why the number of bubbles reduced by evening
(c) Explain why the water was used in this experiment
Date posted:
October 4, 2019
-
Why should respiratory surfaces be:
(i) Moist
(ii) Thin
Date posted:
October 4, 2019
-
Describe the path taken by oxygen gas from atmosphere to the tissues of an insect.
Date posted:
October 4, 2019
-
a)State two ways in which the surface area of the fish filaments is increased for efficient gaseous exchange.
b)What is the importance of counter flow system in the filaments of a fish.
Date posted:
October 4, 2019
-
State two ways in which bodies of people living in high altitude areas respond to low oxygen concentration
Date posted:
October 4, 2019
-
Describe the changes that occur to the rib cage and the diaphragm during inspiration.
Date posted:
October 4, 2019
-
Identify the surfaces of gaseous exchange in the following:-
(i) Paramecium;
(ii) Roots;
(iii) Frog;
Date posted:
October 4, 2019
-
Calculate the RQ of the food substance shown by the equation below.
ii)Name the food substance being oxidized in (i) above.
iii)What is Respiration Quotient (RQ)?
Date posted:
October 4, 2019
-
State two causes of coronary thrombosis.
Date posted:
October 4, 2019
-
The amount of blood flow through various parts of the body of a mammal was measured in cm3 per minute at rest and during different physical activities. Results are shown below.
a) Calculate the percentage change in blood flow through the skeletal muscles and gut when the mammal was exposed to strenuous exercise.
i) Skeletal muscles
ii) Gut
b) Account for the differences in amount of blood flow through the gut and skeletal muscles;
i) At rest
ii) During streneous exercise
c) Account for the result obtained for the skin during light exercise
d) Name two substances which are removed from the body by the kidney
Date posted:
October 4, 2019
-
The figure below represents a diagram of a photometer;
(a) What is the photometer used for ?
(b) State the precautions which should be taken when setting up a photometer
(c) Explain what you will expect if set up was placed under the following environmental conditions;
(i) Dark room
(ii) Leafy shoot enclosed in polythene bag
(iii) In a current of air created by a fan
Date posted:
October 4, 2019
-
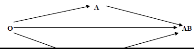
The flow chart below shows a blood transfusion pathway.
(a) What three conclusions can you draw from the flow chart?
(b) State two precautions that must be observed during blood transfusion
(c) Explain how blood clot is formed once a blood vessels is injured
Date posted:
October 4, 2019
-
Outline the route taken by a molecule of glucose from the ileum up to the kidney.
Date posted:
October 4, 2019
-
(a) Why are xylem vessels more efficient in the transport of water than tracheids?
(b) What is the significance of xylem vessels being dead?
Date posted:
October 4, 2019