Trusted since 2008
Chat on WhatsApp

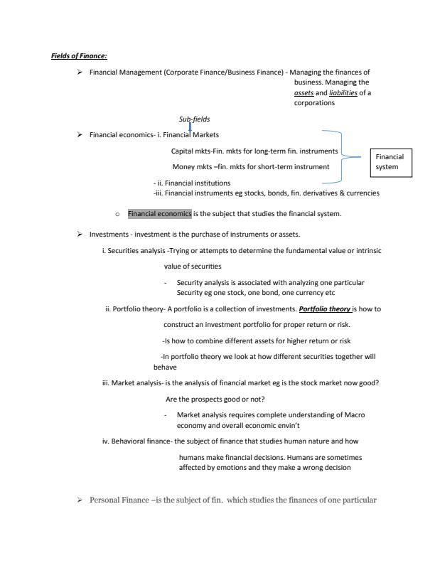
Introduction to Financial Management Notes

KES 200
Secure M-PESA Paybill • Instant digital delivery
View all Notes.
625 Views
1 Purchases

Summary

The notes contain detailed notes on financial management.they are best suited for use by university lectures as well as the students.

Brief Overview:

Introduction to Financial Management:

• In our present day economy, finance is defined as the provision of money at the time when it is required.
• Every enterprise, whether big, medium or small, needs finance to carry on its operations and to achieve its targets.
• In fact, finance is so indispensable today that it is rightly said to be the lifeblood of an enterprise. Without adequate finance, no enterprise can possibly accomplish its objectives.
...................

You’re viewing a preview. Buy now to unlock the full document and download instantly after M-PESA payment.

  • Page 1 – Introduction to Financial Management Notes – Kenyaplex
  • Page 2 – Introduction to Financial Management Notes – Kenyaplex
........

This is the end of this document preview. Buy to download the complete document.

Recommended Resources

More Resources


  • Certificate in Plumbing Complete Notes

    Certificate in Plumbing Complete Notes INTRODUCTION TO PLUMBING Specific objective a. Narrate the history of plumbing trade b. State relationship existing between plumbing and other building...

    Price: KES :  100

  • Clinical Medicine: General Surgery Complete Notes

    Download complete Clinical Medicine General surgery complete notes SURGERY MODULE 1 SURGERY 1 It has three units: 1. General introduction to surgery 2. Soft tissue...

    Price: KES :  200

  • Digital Literacy Complete Notes

    Enhance your digital literacy with comprehensive notes. Purchase now and receive instant delivery via WhatsApp, email, or direct download. 1.1 Determine concepts of ICT in accordance with computer...

    Price: KES :  250

  • AEM 203 Agroecology II Notes

    AEM 203 Agroecology II Notes University of Embu Bachelor of science in management of agro-ecosystems and environment Brief overview: Basic Concepts 1. Ecosystem: A piece of earth containing...

    Price: KES :  1000

  • ISC 207 Management Information Systems Notes

    Full notes on management of information systems. Get the full notes here Brief Overview: System Concept A system is an organized, purposeful structure regarded as a whole and consisting of...

    Price: KES :  200

  • BASS 301: Religion and Science in East Africa Notes 2016/2017

    Scientific methods of study and research Brief Overview: INTRODUCTION The following section attempts to explain the relationship between religion and science. It starts by explaining the...

    Price: KES :  400

  • AEM 203 Agroecology Notes: Interaction between agriculture, global environment and social systems

    The notes comprises origin of agriculture, the global food system and its influences on environment and its mitigation measures 2.0 INTERACTION BETWEEN AGRICULTURE, GLOBAL ENVIRONMENT AND SOCIAL...

    Price: KES :  1000

  • Laboratory Manual on the Determination of Electrical Conductivity and Salinity of Water

    This is a laboratory manual on the determination of electrical conductivity and salinity of water Experiment: Determination of the conductivity and salinity of water Introduction Conductivity is a...

    Price: KES :  500

  • Kenyatta University EMP 201: Curriculum Development Notes

    Document Length: 9 pages. The notes are all about curriculum Implementation and Teacher education, the definition of Curriculum Implementation, Strategies for Curriculum Implementation, Agencies of...

    Price: KES :  150

  • Internet and Networking Revision Notes: Module III diploma in ICT

    These are revision questions and answers for module III diploma in ICT. They are very understandable Q&A for exam preparation. DATA COMMUNICATION AND NETWORKS 1. Define the term Computer...

    Price: KES :  200

  • TPR 202 Ethics/Introduction to Ethics Notes

    These are the ethics notes from a researched background and they help one understand about social science. Please read and at the end of it you will benefit, am sure. TPR 202 ETHICS/ INTRODUCTION...

    Price: KES :  150

  • Sociology Notes: Scope of Sociology

    Sociological theory: A theory refers to a statement of general principles which try to explain the nature of things. A sociological theory is, therefore, a branch of sociology that attempts to...

    Price: KES :  200

  • BLM 3312: Logistics Management Notes

    Content covered in this document: - Definition of Logistics - Types of Logistics;inbound,outbound and reverse logistics - Diagrammatic representation of different types of...

    Price: KES :  100

  • BBM 3324: Insurance Risk Management Notes

    [ENVIRONMENTAL RESOURCE MANAGEMENT]ERM Challenges 1. Assessing ERM’s Value 2. Privilege 3. Defining Risk 4. Risk Assessment Methods 5. Qualitative Versus Quantitative risks 6. Time Horizon 7....

    Price: KES :  100

  • SCS 2113: Management Information System Notes

    Management information system MIS levels in organization Functions of MIS MANAGEMENT INFORMATION SYSTEM_2 STRUCTURE What does a management information system look like? What does a management...

    Price: KES :  200

  • Conflict of Laws With Regard to Marriage

    Introduction According to Fawcett, private international law (Conflict of Laws) is that part of domestic law which comes into operation whenever the court is faced with a claim that contains...

    Price: KES :  1500

  • CLS 401: Professional Ethics Notes

    Notes on Professional Ethics and practice for Law students, neatly summarized for easier reading and understanding. Each topic is outlined clearly. The notes cover most topics taught in professional...

    Price: KES :  2000

  • ENTR 032: Introduction to Entrepreneurship

    An entrepreneur is someone who conceives an idea, creates a path to success, does whatever it takes to succeed and tries to dominate their market since they're willing to risk almost everything to...

    Price: KES :  100

  • EMA 412: Economics and Planning of Education Notes 4th year

    These are lectures note for EMA412:ECONOMICS AND PLANING OF EDUCATION for 4th year for education students. Brief Overview: Educational Planning Is a conscious and deliberate Government effort...

    Price: KES :  300

  • EMA 411: Educational Management and Administration Notes

    These are lecture notes of EMA 411.EDUCATIONAL MANAGEMENT AND ADMINISTRATION for 4th year students for teaching and reading. Brief Overview: Organization – refers to the structure and...

    Price: KES :  200

  • AEC 418: Project Appraisal and Evaluation - Introduction to Project Appraisal Notes

    Content: This is an introduction to project appraisal and evaluation. 1. Introduction A project appraisal should entail the following: 1) A presentation and discussion of the socio-economic...

    Price: KES :  300

  • AEC 418: Project Appraisal and Evaluation - Financial Appraisal Notes

    This is a well illustrated topic about financial appraisal in the course project appraisal and evaluation. This topic has the following subtopics: (i) Total investments costs (ii) Fixed...

    Price: KES :  50

  • ABA 431: Business Research Methods for Business Management Notes 4th Year

    BUSINESS RESEARCH METHODS FOR BUSINESS MANAGEMENT for 4th year for education students .The notes can be used for teaching and learning. Brief Overview: 1.1 MEANING OF RESEARCH Research refers...

    Price: KES :  300

  • BEC 3400: Economics of Public Policy Notes

    These notes gives the full detail of economics of public policy which is taught to students in fourth year who take bachelor of science in economics. The notes are well summarized and in a simple and...

    Price: KES :  200

  • Diploma in Clinical Medicine and Surgery Cims 0336: Medicine 2 Notes

    This are notes for medicine 2,they can be used for teaching in clinical medicine and surgery Brief overview: RISK FACTORS Malnutrition and conditions with IS such as HIV LBW Large population...

    Price: KES :  99

  • ENS 2100: Urbanization and environment Notes (One Sub-topic)

    This contains only one sub-topic about the environment and urbanization well written and summarized Brief Overview: URBANIZATION AND ENVIRONMENT. In this paper we are going to discuss the...

    Price: KES :  10

  • Professional Theory and Practice

    This work gives the definition, history, concepts, nature, the empirical formulation, value & ethics, practice model, perspectives and practical interventions of behavioral theory. It gives clear...

    Price: KES :  200

  • AEC 418 Project Appraisal and Evaluation - Economic Analysis of Projects

    This is a topic about economic analysis of projects. it is an important topic in project appraisal and evaluation. It has the following sub topics (i) conversion of markets to accounting prices (ii)...

    Price: KES :  200

  • AEC 418 Project Appraisal and Evaluation - Risk Assessment of Projects

    This document is about the topic 'Risk assessment of projects'. Assessment of projects is a very important thing in project evaluation. The following are the key subtopics which are highlighted. (i)...

    Price: KES :  100

  • EPY 110: Maseno University Introduction to Educational Psychology Notes

    This is full notes for the students taking Education.Introduction to psychology comes in simple and easy to understand notes placed in point form. All the theories are described in a simple way and...

    Price: KES :  50

More Content By justoh9


  • BCOM 2206: Introduction to Financial Management Notes

    The notes entail detailed notes on sources of finance as discussed at university level. The notes will enable the learners to be able to learn and know all the sources of finance. Brief...

    Price: KES :  400

  • BCIT 2112: System Analysis and Design Notes

    Brief Introduction Requirements modeling System Analysis and Design notes For second year university students pursuing BBIT, Computer Science, BSIT, BIT. Semester one; Rapid Application...

    Price: KES :  200

  • BCSC 209: System Administration and Architecture Lecture Notes

    The notes have detailed content on network Administration. As a network / system administrator, it is important to learn the basic concepts explain herein. BCSC 2209: SYSTEM ADMINISTRATION &...

    Price: KES :  200

View all resources  

What Our Users Say